数列 {1, 3, 6, 8, 10, 14 } 构建成一颗二叉树

当对上面的二叉树进行中序遍历时,顺序为:8, 3, 10, 1, 6, 14 ,但是 6, 8, 10, 14 这几个节点的 左右指针,并没有完全的利用上.
如果希望充分的利用各个节点的左右指针, 让各个节点可以指向自己的前后节点,该怎么办?
解决方案:线索二叉树
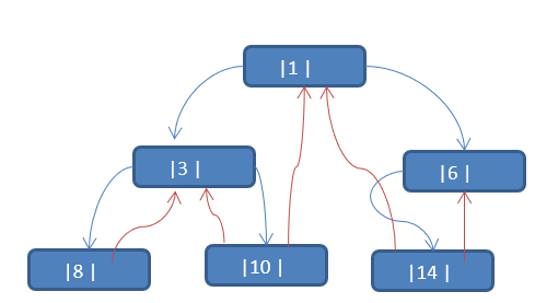
中序线索化后:

1、n个结点的二叉链表中含有n+1 【公式 2n-(n-1)=n+1】 个空指针域。利用二叉链表中的空指针域,存放指向该结点在某种遍历次序下的前驱和后继结点的指针(这种附加的指针称为"线索")
2、这种加上了线索的二叉链表称为线索链表,相应的二叉树称为线索二叉树(Threaded BinaryTree)。根据线索性质的不同,线索二叉树可分为前序线索二叉树、中序线索二叉树和后序线索二叉树三种
3、一个结点的前一个结点,称为前驱结点
4、一个结点的后一个结点,称为后继结点
注意:
1、left 指向的是左子树,也可能是指向的前驱节点. 比如节点1的 left 指向的左子树, 而节点10的 left 指向的就是前驱节点.
2、right指向的是右子树,也可能是指向后继节点,比如节点1的right 指向的是右子树,而节点10的right 指向的是后继节点.
遍历线索化二叉树
因为线索化后,各个结点指向有变化,因此原来的遍历方式不能使用,这时需要使用新的方式遍历线索化二叉树,各个节点可以通过线型方式遍历,因此无需使用递归方式,这样也提高了遍历的效率。 遍历的次序应当和线索化遍历方式保持一致。即中序线索化二叉树后,遍历次二叉树时,需要按照中序方式遍历
代码如下:
static class ThreadedBinaryTree{
private TreeNode root;
public ThreadedBinaryTree(TreeNode root){
this.root=root;
}
private TreeNode pre;//标记当前节点的前驱节点的指针
//前序线索化二叉树1,3,8,10,6,14
public void preThreadedBinaryTree(TreeNode node){
if(node==null){
return;
}
//线索化当前节点
if(node.getLeft()==null){
node.setLeft(pre);
node.setLeftType(1);
}
if(pre!=null&&pre.getRight()==null){
pre.setRightType(1);
pre.setRight(node);
}
pre=node;
//线索化左子树
if(node.getLeftType()==0){
preThreadedBinaryTree(node.getLeft());
}
//线索化右子树
if(node.getRightType()==0){
preThreadedBinaryTree(node.getRight());
}
}
//遍历前序线索化二叉树
public void preThreadedBinaryTreePrint(){
TreeNode node=this.root;
while (node!=null){
System.out.println(node);
while (node.getLeftType()==0){
node=node.getLeft();
System.out.println(node);
}
//重置节点
node=node.getRight();
}
}
//中序线索化二叉树
public void midThreadedBinaryTree(TreeNode node){
//判断节点是否为空
if(node==null){
return;
}
//线索化左子树
midThreadedBinaryTree(node.getLeft());
//线索化当前节点
if(node.getLeft()==null){
node.setLeft(pre);
node.setLeftType(1);
}
//处理当前节点的后继节点的思路是当node指向下一个节点,
// pre指向当前节点时,由pre设置,好好思考下
if(pre!=null&&pre.getRight()==null){
pre.setRight(node);
pre.setRightType(1);
}
//变更pre指针信息
pre=node;
//线索化右子树
midThreadedBinaryTree(node.getRight());
}
/**
* 遍历中序线索化二叉树
*/
public void midThreadedBinaryTreePrint(){
TreeNode node=this.root;
while (node!=null){
//循环找到第一个leftType=1的节点
while (node.getLeftType()==0){
node=node.getLeft();
}
System.out.println(node);
//如果当前节点的右指针指向的是后继节点,就一直输出
while (node.getRightType()==1){
node=node.getRight();
System.out.println(node);
}
//重置节点
node=node.getRight();
}
}
}
static class TreeNode{
private int data;
private TreeNode left;
private int leftType;//0:指向左子树,1:指向前驱节点
private TreeNode right;
private int rightType;//0:指向右子树,1:指后继节点
public TreeNode(int data){
this.data=data;
}
public int getLeftType() {
return leftType;
}
public void setLeftType(int leftType) {
this.leftType = leftType;
}
public int getRightType() {
return rightType;
}
public void setRightType(int rightType) {
this.rightType = rightType;
}
public int getData() {
return data;
}
public void setData(int data) {
this.data = data;
}
public TreeNode getLeft() {
return left;
}
public void setLeft(TreeNode left) {
this.left = left;
}
public TreeNode getRight() {
return right;
}
public void setRight(TreeNode right) {
this.right = right;
}
@Override
public String toString() {
return "TreeNode{" +
"data=" + data +
'}';
}
}
来源:CSDN
作者:zuodaoyong
链接:https://blog.csdn.net/zuodaoyong/article/details/104125995