精密软件检波

我只是一个虾纸丫 提交于 2020-02-02 00:17:51

image

对于电磁AI组别,如何能够从车模周围电磁传感器获得磁场精确信息是提高车模稳定性的关键。

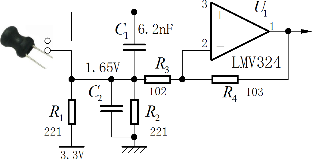
通常情况下20kHz的低频交变磁场信息是通过10mH的工字型电感,适配以6.2nF的谐振电容检测的。该信号在经过三极管或者普通运放的放大之后送入检波电路完成幅值的检测。

image

3.3V单电源20kHz谐振放大电路

在推文“”中介绍了关于电磁信号放大检波中,检波二极管的死区对于检波信号的影响。下图对比了几种典型的二极管对应的检波曲线,对于使用肖特基二极管进行全波检波电路,在感应电压大于0.1V之后,检波电压与交流信号复制之间线性很好。当输入信号的幅值小于0.1V时,检波电压出现明显的衰减。

image

不同二极管进行20kHz检波曲线

为了消除二极管死去的影响,对于交流信号也可以直接进行软件采样然再通过软件完成幅值的检测。

下图是对20kHz的交变信号,通过单片机ADC转换之后,通过DMA送入内存之后的256个数据。

image

直接采样得到20kHz的交流信号数据

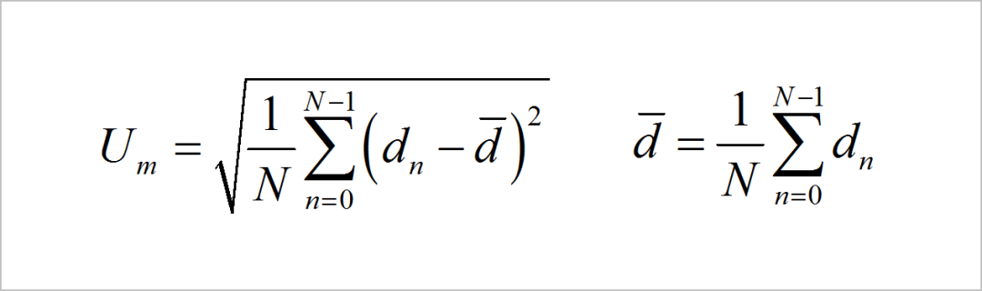
对于采集的信号,通过计算信号中交流成分的能量,并开根号获得信号的幅值信息。具体公式如下:

image

使用Fluke45万用表的交流档测量相同的信号,对照单片机通过上述方法计算出的数值,可以看到该方法检测信号的精度。

控制信号源的强度,使得放大后的交流信号有效值从5mV开始增加,一直增加到0.9V左右,将Fluke45万用表读出的数据与单片机检测数值绘制成图表如下:

image

计算采集信号的能力来检测信号的幅值

上图显示,直接使用软件计算采集信号的能力,所得到的信号幅值没有任何死区的影响,在弱信号和强信号下,检测数据线性程度很好。

下图显示了在同样外部信号源的强度下,采集200数据显示的信号标准方差为1.5左右。

image

直接对采集到的信号求交流分量的能量,数值包含了信号能力和噪声的能量。

如果再利用信号本身已知的信息,对其进行数字滤波,可以将叠加在信号中的噪声进一步衰减。

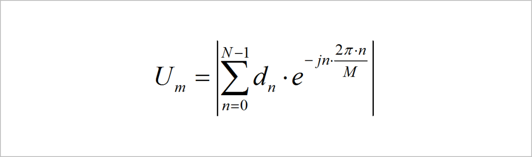
信号是20kHz的正弦波信号。可以对采集到的数据计算它在20kHz处的离散傅里叶变换,得到对应20kHz基波的频谱,舍去其它噪声频谱能量。

image

上面公式中,M代表在每个周期内采集数据的个数。

为了能够在每个周期内采集到更多的数据点,可以使用欠采样的方法,对ADC信号完成采集。下面的数据时每隔51us采集一次AD数值。可以获得每个周期50个左右的采集数据点。数据个数为273个。

image

使用欠采样所获得信号的波形数据

下面对比使用能量方法和离散傅里叶方法计算信号的幅值所得到的数据的方法。

下图是直接使用能量方法在相同的磁场情况下,测量200个数据的方差,大小在2.2左右。

image

直接对欠采样信号使用能量法所得到幅值的测量方差

下图是使用离散傅里叶变换,对测量200个结果,统计所得到方差,大小在0.85左右。这比直接使用能量方法测量结果方差降低了3倍左右。

image

使用离散傅里叶变换计算欠采样信号幅值的测量方差

如果想进一步提高检测精度,在单片机内部内存空间允许的情况下,采集更多的数据可以进一步降低噪声对测量结果的影响。

下图显示了在不同的外部磁场下,使用Fluke45万用表测量信号的幅值与单片机软件检测结果之间的线性曲线。image

在不同外部磁场强度下对比Fluke45万用表测量结果与单片机检测结果

实验中,改变外部电磁信号强度是对所使用的数字电磁信号源进行了改造。将控制输出电流的限流电路MOS管栅极电压,与电路板中控制单片机信号断开,然后引出该控制端口,连接到外部程控制流电源上,通过计算机编程来逐步调整信号源输出20kHz信号的电流强度。

image

改造20kHz交变信号源的输出电流控制电路

使用前面的检测电感放大电路,可以对在不同信号源电流强度下,空间中某一点的交变磁场进行测量。

image

磁场信号放大电路

下图显示了在程控电压源输出不同的电压下,磁场感应信号的变化情况。交流信号可以在5mV至900mV范围内变化,可以满足前面对软件检波实验的要求。

image

20kHz信号源限流MOS管的栅极电压与检测磁场信号之间的关系

标签
易学教程内所有资源均来自网络或用户发布的内容,如有违反法律规定的内容欢迎反馈
该文章没有解决你所遇到的问题?点击提问,说说你的问题,让更多的人一起探讨吧!