
2,代数精度
(1)目的:
数值求积方法是近似方法,为了保证精度,我们自然希望公式能对“尽可能多”的函数准确成立,这就提出了所谓代数精度的概念。
(2)定义:
①若某个求积公式对于次数≤m的多项式均能够准确成立,但对于m+1次多项式就不一定准确,则称该求积公式有m次代数精度。
②若某个求积公式对于1, x,…, xm 均能够准确成立,但对于xm+1就不准确成立,则称该求积公式有m次代数精度。
(3)定理:
当n为偶数时,牛顿—柯特斯公式至少有n+1次代数精度。注:在实际应用时,出于对计算复杂性和计算速度的考虑,我们常常使用低阶偶数求积公式,代替高一阶的奇数求积公式。
3,插值求积公式
(1)定理:具有n+1个求积节点的机械求积公式至少有n次代数精度的充分必要条件是,它是插值型的。
试总结证明机械求积公式是插值型求积公式的方法。
(2)求积公式的余项
若求积公式的代数精度为m,则余项形如
其中K是不依赖于f(x)的待定参数。
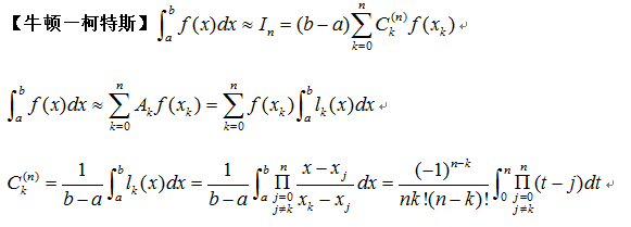
3,牛顿—柯特斯求积公式{梯形,辛普森,柯特斯}

4,复化求积公式
1、 定义:
为了提高精度通常可把积分区间分成若干子区间,再在每个子区间上用低阶求积公式。这种方法称为复化求积法。
复化求积法就是先用低阶的牛顿—柯特斯公式求得每个子区间[xk, xk+1]上的积分


来源:CSDN
作者:YuanYWRS
链接:https://blog.csdn.net/yuanYW7556/article/details/104137349