神经网络检测三相电机缺相

こ雲淡風輕ζ 提交于 2020-02-01 19:16:52

在前天“恩智浦MCU加油站”公众号给出了一篇

。显示了RT1010强大的算力可以支持AI边缘计算的能力,并给出了将PC训练的网络模型快速移植并部署到MCU的开发工具“NNCU:NN toolkit for mCU”的下载方式,帮助感兴趣的同学快速开发嵌入式神经网络算法。

image

三相电流缺相检测实验系统

三相电机,特别是鼠笼感应电机,在启动之后如果因为突然电源变动,或者负载波动,或者器件老化,使得三相供电中某一相回路断路,此时电机就只在两相电供电下工作。

在两项电压激励下,电机内部不再是旋转磁场,而是振荡磁场,根据感应电动机的负载特性,已经启动的电机仍然可以旋转,只是工作输出力矩减小,效率大大降低,进而增加系统工作电流,对电机和供电系统带来危险。

image

鼠笼式感应电机由于保险损坏产生缺相

在给出的推文视频中,显示做实验的小型电机应该是一种永磁同步电机(BLDC),这种电机运行在与外加旋转磁场相同转速下。在缺相的情况下,电机也会同步运行,只是此时输出力矩降低很多。

对于电机三相供电时的缺相检测,是保护电机和驱动电路重要方法。

image

手动断开运行中电机一路电线,产生缺相故障

电机驱动电路中通常带有三相电流检测电路,可以实时获得电机三相电流的数值。如果在运行中发现某一项电流在驱动电压下电流消失,可以判断电机出现缺相故障。

如果检测的电流如下图所示,是非常干净标准的正弦信号,似乎进行缺相检测并不困难。

image

理想的三相正弦电流波形

但实际上电机三相中的电流波形由于电机本身磁场不均匀,负载的变化,信号采集电路中的干扰等因素影响,使得采集到的电流波形出很大的干扰变形,与理想的正弦波信号相去甚远。

image

高速空载下实际三相电机电流波形

根据电机的负载不同,三相电机的工作电流也会在很大范围内波动。

因为电机工作电流本身是呈现正弦波动,加上采集数据的失真,因此简单根据某一相的电流的有无来判断缺陷会存在很大的风险。

image

低速下三相电机电流波形

通过和推文作者宋岩工程师的进一步交流,他详细介绍了使用神经网络Auotencoder算法,来检测三相电机缺相故障的一些技术细节。

他通过采集三相电流若干个周期 (大概三个周期)20组三相电流数值,每组包括U、V、W三相电流数值,来判断是否产生了电机缺相故障。

image

缺相后电机三相电流波形

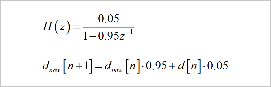
为了抑制采数据中的噪声,首先对采集到的电流噪声进行了一阶低通滤波。下面是低通滤波器的系统函数和相应的滤波迭代算法:

image

低通滤波之后,三相电流波形中的高频噪声被大大抑制了。电流中只包含有基波电流和它的三次谐波。

猜想该电机应该是直流永磁同步电机,为了增加电机的驱动电压范围,所以在其驱动电压中引入了三次谐波。所以从下图来看,电流中的三次谐波分量还是非常明显。

image

低通滤波后的正常三相电流波形

下图显示了缺相的电机电流在滤波后的电流波形。由于只有两项工作,所以它们两之间的电流呈现反相的关系。另外一路的电流很小,在零点附近波动。

image

低通滤波之后缺相电流波形

说实在的,看到上面滤波后的电流信号,我想应该通过简单的数值判断,就应该能够得到电机缺相的判据了。但谁让我们的RT1010单片机的计算能力强大呢,所剩下的计算能力不用白不用,推文作者于是选择了一个神经网络对上述电流波形序列数据来完成缺相的判断。

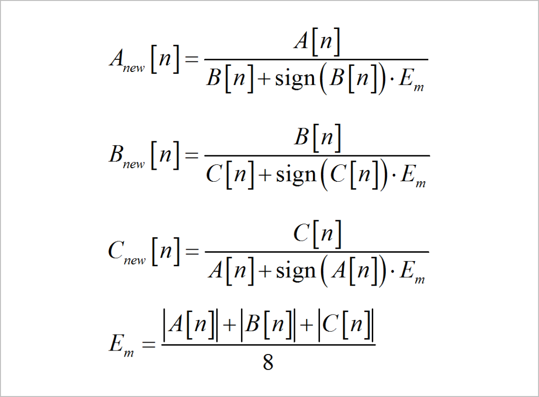
为了消除由于电机负载不同所带来的电流幅值的变化。在送入神经网络之前,进行了数据的归一化。算法采用了三相电流数据

两两相除之后完成归一化的方法。image

电流数据归一化公式

为了避免数据相除中会遇到除以0(或者非常小的数字)所带来的结果发散问题,因此在上述除法公式中,分母上增加了一项正则项,取当前三相电流绝对值之和的八分之一作为分母的最低基准。

通过这样处理,无论原始数据多大范围,归一化结果都在正负4之间。

image

归一化之后的正常电流数据波形

应该说上述方法完成数据的归一化处理是作者比较想当然选择的方法,究竟如何对测量数据进行预处理,这是使用神经网络过程中的需要依靠工程师“灵感”的部分,究竟方法的好坏往往需要根据实际测量数据和运行结果进行多次的调整。

image

归一化之后的缺相电流波形

这里就不再累述。

很可惜,在原文中没有特别详细介绍网络的结构参数,训练的数据集的情况(电机转速范围、电机负载不同情况),训练网络的超参、最终判断的效果如何,这些留给读者去想想。

image

AutoEncoder完成对数据异常的检测

现在的微控制器,微处理的性能增加很大,留给算法肆意妄为空间也在不断的开展。通过深度神经网络对三相电流检测波形数据是否缺相进行判断,的确可以省略原本需要人工来制定判断规则的繁琐过程,但这种只通过现象(数据)而不通过第一原理(机制)来检测的方法究竟可靠性如何?适用范围多大?这也同样留下了很多的疑难问题需要去验证。

image

我与古人面对面

None

None

易学教程内所有资源均来自网络或用户发布的内容,如有违反法律规定的内容欢迎反馈
该文章没有解决你所遇到的问题?点击提问,说说你的问题,让更多的人一起探讨吧!