import numpy as np
import pandas as pd
import matplotlib as mpl
import matplotlib.pyplot as plt
import seaborn as sns
sns.set(style="whitegrid", color_codes=True)
np.random.seed(sum(map(ord, "categorical")))
titanic = sns.load_dataset("titanic")
tips = sns.load_dataset("tips")
iris = sns.load_dataset("iris")
用stripplot展示类别值,类似于散点图
sns.stripplot(x="day", y="total_bill", data=tips,jitter=False)

该方法不适合于数据量特别大的场合,如果那样,则纵轴数据会连成一条线,很难区分数据的差异/重叠是很常见的现象,但是重叠影响我观察数据的量了,最好加入jitter
sns.stripplot(x="day", y="total_bill", data=tips, jitter=True)

sns.swarmplot(x="day", y="total_bill", data=tips)

sns.swarmplot(x="day", y="total_bill", hue="sex",data=tips)

加入hue属性
sns.swarmplot(x="total_bill", y="day", hue="time", data=tips)

1 盒图¶--->适合离群点检测-整体分布/离群点的多寡
- IQR即统计学概念四分位距,第一/四分位与第三/四分位之间的距离
- N = 1.5IQR 如果一个值>Q3+N或 < Q1-N,则为离群点
sns.boxplot(x="day", y="total_bill", hue="time", data=tips)

hue:表示要在哪个特征上进行划分
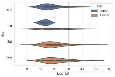
sns.violinplot(x="total_bill", y="day", hue="time", data=tips);

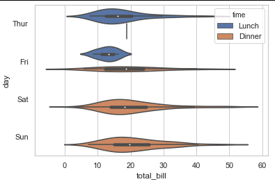
sns.violinplot(x="day", y="total_bill", hue="sex", data=tips, split=True);

sns.violinplot(x="day", y="total_bill", data=tips, inner=None)
sns.swarmplot(x="day", y="total_bill", data=tips, color="w", alpha=.5)

显示值的集中趋势可以用条形图
sns.barplot(x="sex", y="survived", hue="class", data=titanic);

2 点图可以更好的描述变化差异
sns.pointplot(x="sex", y="survived", hue="class", data=titanic);


3 宽形数据
sns.boxplot(data=iris,orient="h");

4 多层面板分类图
sns.factorplot(x="day", y="total_bill", hue="smoker", data=tips)

sns.factorplot(x="day", y="total_bill", hue="smoker", data=tips, kind="bar")

sns.factorplot(x="day", y="total_bill", hue="smoker",
col="time", data=tips, kind="swarm")

sns.factorplot(x="time", y="total_bill", hue="smoker",
col="day", data=tips, kind="box", size=4, aspect=.5)

seaborn.factorplot(x=None, y=None, hue=None, data=None, row=None, col=None, col_wrap=None, estimator=, ci=95, n_boot=1000, units=None, order=None, hue_order=None, row_order=None, col_order=None, kind='point', size=4, aspect=1, orient=None, color=None, palette=None, legend=True, legend_out=True, sharex=True, sharey=True, margin_titles=False, facet_kws=None, **kwargs)
5 Parameters:¶
- x,y,hue 数据集变量 变量名
- date 数据集 数据集名
- row,col 更多分类变量进行平铺显示 变量名
- col_wrap 每行的最高平铺数 整数
- estimator 在每个分类中进行矢量到标量的映射 矢量
- ci 置信区间 浮点数或None
- n_boot 计算置信区间时使用的引导迭代次数 整数
- units 采样单元的标识符,用于执行多级引导和重复测量设计 数据变量或向量数据
- order, hue_order 对应排序列表 字符串列表
- row_order, col_order 对应排序列表 字符串列表
- kind : 可选:point 默认, bar 柱形图, count 频次, box 箱体, violin 提琴, strip 散点,swarm 分散点 size 每个面的高度(英寸) 标量 aspect 纵横比 标量 orient 方向 "v"/"h" color 颜色 matplotlib颜色 palette 调色板 seaborn颜色色板或字典 legend hue的信息面板 True/False legend_out 是否扩展图形,并将信息框绘制在中心右边 True/False share{x,y} 共享轴线 True/False
来源:CSDN
作者:史努B
链接:https://blog.csdn.net/f2157120/article/details/104121925