复习, 状态序列(state sequence),观测序列(observation sequence)
问题一 概率计算问题
转载链接:https://zhuanlan.zhihu.com/p/27056207
给定模型的情况下,求某种观测序列出现的概率。
一般方法: 前向、后向算法
举例来说明一下,例子如下:(例子来源于维基百科)
考虑一个村庄,所有村民都健康或发烧,只有村民医生才能确定每个人是否发烧。医生通过询问患者的感受来诊断发烧。村民只能回答说他们觉得正常,头晕或感冒。
医生认为,他的患者的健康状况作为离散的马可夫链。 “健康”和“发烧”有两个状态,但医生不能直接观察他们;健康与发烧的状态是隐藏的。每天都有机会根据患者的健康状况,病人会告诉医生他/她是“正常”,“感冒”还是“头昏眼花”。
比如,给定的HMM模型参数已知,求出三天观察是(Dizzy,Cold,Normal)的概率是多少?对应的HMM模型参数已知的意思,就是说A(trainsition_probability),B(emission_probability),pi 矩阵是已经知道的。
这里仅算两天
这个问题我们最容易想到的解法就是将路径全部遍历一遍, 
假如第一天为 Healthy
第一天为Healthy的概率为:0.6
在第一天为Healthy的基础上,观察为Dizzy的概率为:
P(Dizzy|Healthy)=0.6P(Healthy->Dizzy)=0.6*0.1=0.06
然后求出在第一天为Healthy的基础上,并且第一天表现为Dizzy的前提下,第二天也为Healthy的概率为:
P(Healthy|Healthy,Dizzy)=0.06p(Healthy->Healthy) = P(Dizzy|healthy)07 = 0.06*0.7

可以看出,一条路径已经求解完了。之后按这个思路求解其他三条路径。之后相加就好了。
问题: 实际中的隐状态个数非常大, 那么我们的计算量是无法忍受的。从图中可以看出,它是随着观测序列长度的增加呈指数级变化。(一旦遇到指数级,就像坐火箭一样,多一个数量都是灾难)
暴力法并不实用。
前向算法
我们首先定义一下前向概率

已知:模型 λ、
求解概率(前向概率): 时刻 t 之前的观测序列为 O1,O2,……,Ot 且此时状态为 qi 的概率。
下面,我们可以整理一下前向算法的流程:
输入:隐马尔可夫模型 λ,观测序列 O
输出:观测序列概率 p(o| α)
- (1)初值

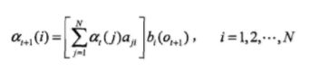
前向概率的定义中一共限定了两个条件,一是到当前为止的观测序列,另一个是当前的状态。所以初值的计算也有两项(观测和状态),一项是初始状态概率,另一项是发射到当前观测的概率。 - (2)递推对t=1,2,3,…,T-1


每次递推同样由两部分构成,大括号中是当前状态为i且观测序列的前t个符合要求的概率,括号外的是状态i发射观测 t+1的概率。 - (3)终止

慢慢分析: ——把大象装入冰箱,大声告诉我有几步?
步骤(1)初始化前向概率,是初始时刻的状态 i1 = qi 和观测 o1 的联合概率。 也就是我们给个序列的起点,然后再说怎么往后推。
步骤(2),这是关键点,就像我们写递归程序一样,写好递归步骤一样。
计算前向概率(到时刻 t +1 部分观测序列为 ~,且在时刻 t +1 处于状态 qi )
其实就是一个映射的过程
即我们的思路是: 从 t 时刻开始 , 先把 t+1 时刻的第一个状态 q1 的前向概率算出来, 然后再对 t + 1 时刻的所有状态, q1, q2…等等求和, 再把 t + 2 时刻第一个状态 q1 的前向概率算出来,如此循环往复。直到求出概率。
前向算法好在哪里?
与暴力算法对比,它把计算的值都给存起来了,而不是像暴力算法一样,很多值都是重复计算,没有存起来的机制。
利用前向概率计算 P(O | λ) 的计算量是 O(N2T) 阶的, 而不是直接计算的 O(TNT)。
为什么是这样的呢? 因为我们可以看出,暴力算法其实是计算每一条路径,而路径是随着观测序列越长呈指数级增长,示意图:
所以是 NT 条路径,又因为每个状态对应 T 个观测值, 所以是 TNT 。
而前向算法其实也没什么高明之处,需要求和的步骤都没有少,只是利用了一些优化手段,如下图,让它变成一个块,一个块的计算,而不是一条路径的计算,这样就可以消去指数变化

再看下面这张图, 之前讲到过,先求 t+1 时刻的 q1 状态前向概率,然后求和 t+1 时刻的 q1、q2等,求出 t +2 时刻 q1前向概率,如下所示,其实就是先集中求 q1, 这里需要 N 次(状态数量之和),然后再集中求 q2 ,一直求完qN 的前向概率,这里就变成了 N x N 次, 然后把它们求乘以发射概率,得到下一个时刻的 q1。一共递推 T次。
来源:CSDN
作者:芒骁
链接:https://blog.csdn.net/qq_44587855/article/details/104121250



