文章目录
向量的两个基本属性:
方向(向量运动的方向)大小(向量运动的速度大小);
向量定义
- 向量(vector)指有大小(magnitude)和方向的量;
数学表示
- 代数表示:
- 一般印刷用黑体小写英文字母a、b 等来表示,手写在字母上加一箭头(→)表示;
- 或用大写字母AB、CD 上加一箭头(→)表示;
- 几何表示:向量可以用有向线段来表示;
- 有向线段的长度表示向量的大小,向量的大小,也是向量的长度;
- 长度为
0的向量叫做零向量,记作长度等于1个单位的向量,叫做单位向量;
- 坐标表示:
- 在平面直角坐标系中,分别取与x 轴、y 轴方向相同的两个单位向量
i,j作为一组基底; - a 为平面直角坐标系内的任意向量,以坐标原点O为起点P为终点作向量a,由平面向量基本定理可知,有且只有一对实数(x,y),使得
a=xi+yj,因此把实数对(x,y)叫做向量a 的坐标,记作a=(x,y)。这就是向量a 的坐标表示。其中(x,y) 就是点P 的坐标。向量a 称为点P 的位置向量。 - 三维、多维空间直角坐标同理;

- 在平面直角坐标系中,分别取与x 轴、y 轴方向相同的两个单位向量
相等、平行向量
如下图,a 、b 、c 相互平行;
零向量
即大小为零的向量,但它仍有方向,方向任意,仍是一条有向线段,仍具向量的所有属性;
向量运算
线性代数中有两个基本的向量运算
- 向量加法;
- 标量向量乘法(向量数乘);
向量加法
Vector Addition:设有向量u 和 v,两者向量相加得 u+v;
- 【三角形法则】即使
v的尾点与u的始点重合来构造,也可是从u的尾点与v的始点重合来构造的; - 向量减法同理,取
v的反向向量-v与u做向量加法;
标量向量乘法
Scalar Vector Multiplication:当向量v 与标量 k 相乘时,得到了与 v 平行的向量kv,其长度为 |k||v|;
- 如果 k 是负数,则
kv的方向与v相反; - 如果k=0,则
kv为零向量;

【应用】三维向量坐标:
通过使用三个互成直角的向量来创建一个 Box (三维向量坐标),如果这三个向量取基向量,则这个 Box 的长宽高取决于每个基向量的数乘;

向量运算性质
Properties of Vector Arithmetic:
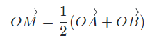
【应用】中点公式
The Middle Point Formula:
假设点 M 是介于线段 AB 的中点,有另一点 O ,则向量 OM,可写为


用中点公式实现谢尔宾斯基三角形:
Sierpinski Triangles:
假设有一个由三个点组成的三角形,利用中点公式计算每个边的中点,这些中点可以连接成四个新的三角形,其中中心三角形是空的。如果对每个新的非空三角形重复这个过程,就会得到谢尔宾斯基三角形;
基向量和坐标
一维坐标
设 e 为一维直线上的非零基向量,e 与一维直线上的每一个向量都平行,对一维直线上任意向量v 有且仅有一个数值 x 使

则称 e 为基向量,而 x 为一维空间 的坐标值;

二维坐标
设 e1和 e2是两个非平行基向量,对于该平面上任意向量 v 都有且仅有一个二元坐标值 (x,y)使

则称e1和 e2为基向量,而 (x,y) 为向量在二维空间的坐标值;

三维坐标
设 e1,e2,e3是三个非零基向量,且没有平面与所有三个向量平行,对该三维空间中的任意向量v有且仅有一个三元坐标值(x,y,z)使

则称e1,e2,e3为基向量,而 (x,y,z) 为向量在三维空间的坐标值;

向量的列向表示法(列向量)
设 v 为基向量也是列向量,在 n 维空间 (n∈[1,2,3]) 中是一个由n 个标量(或称向量元素)组成的列向量,如
列向量是一个 n×1 的矩阵;

也可用一种更紧凑的向量表示方法

注意列向量写成上述形式,各向量元素间要加逗号;
其中

在线性代数中,一般所说的"向量",都默认是行向量;
向量转置
任何向量,无论是行向量还是列向量都可以互相转置,这意味着行向量转置变列向量,列向量转置变行向量,而向量元素的顺序不变,即

注意,行向量在向量元素之间没有逗号,这是为了与列向量的表示法进行区分;
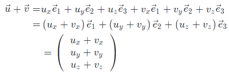
列向量的运算
设向量 u 和 v 在相同的基向量下得到,即

列向量加法
就是向量元素相加;
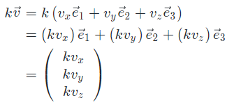
列向量数乘

标准基向量
基向量是向量坐标的基础,对于不同的基向量,即使对同一向量,有不同的向量坐标,为了统一标准,我们设定标准基向量;
- n 维标准基向量的向量元素除第 n 个为 1 外其他都为 0 ,即

以下是一个在标准基向量下的向量加法
多维向量空间
实坐标空间
实坐标空间的向量元素都为实数(Real number),实坐标空间的基向量是一组向量 e1,e2...em ,则对于任意在n 维空间中的向量 u,有且仅有唯一的坐标值 (u1,u2...um) ,即

同理实坐标向量中的标准基向量为
二阶多项式与向量

来源:CSDN
作者:Antennin
链接:https://blog.csdn.net/weixin_43559366/article/details/104111626




