信号的时域分析
0.前言
主要内容为:基本信号,基本运算,基本分解
代码演示图像参考
一.连续时间基本信号
1.普通信号
(一)指数类信号
f(t)=Keσt+jωt⎩⎪⎪⎪⎨⎪⎪⎪⎧直流信号f(t)=K实指数信号 f(t)=Keσt等幅振荡正弦信号 f(t)=Kejωt不等幅振荡正弦信号 f(t)=Keσt+jωtσ=0,ω=0σ=0,ω=0σ=0,ω=0σ=0,ω=0
$ 其中 -∞ < t < +∞,K 为振幅 $
其中 -∞ < t < +∞,K 为振幅, $ \omega为角频率 $
(1)直流信号
$f(t)=K $
(2)实指数信号
f(t)=Keσt
-
σ是决定信号幅度随时间增长或衰减的因子。
-
$\tau= \frac {1}{|,\sigma ,|} $ ,称为实指数信号的时间常数。
当t=τ 时,f(τ)=Ke−1=0.368K ,表示实指数信号衰减为初始值的36.8%
(3)等幅振荡正弦信号
$\f(t)=K,e^{ j\omega t} $
由 Euler 得
f(t)=Kejωt=Kcosωt+jKsinωt
(4)不等幅振荡正弦信号
f(t)=Keσt+jωt

(二)取样信号

2.奇异信号
特征:数学表达式属于奇异函数,即在函数本身或其导数或高阶导数具有不连续点(跳变点)。

(1)斜坡信号r(t)
r(t)={t0t>0t<0
(2)单位阶跃信号 u(t)
u(t)={10t>0t<0
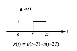
作用:A. 阶跃信号可以表示任意矩形脉冲信号

B.利用阶跃信号的单边性表示信号的时间范围
例:sin wt⋅u(t−t0)={sin wt0t>t0t<=t0
(3)单位冲激信号 δ(t)
δ(t)={0→∞t=0t=0
也可以运用泛函数 表示,$ \phi (t) 为任意一个在t=0处连续的普通函数 $
∫−∞∞δ(t)⋅ϕ(t)dt=ϕ(0)
性质:
A.筛选特性
x(t)δ(t−t0) =x(t0)δ(t−t0)
B.抽样特性
∫−∞∞δ(t−t0)⋅ϕ(t)dt=ϕ(t0)
C.展缩特性
δ(at)=∣a∣1δ(t)
D.卷积特性
(4)单位冲激偶信号 δ’(t)
δ’(t)=dtdδ(t)