完全二叉树任意节点所在子树的节点数

大憨熊 提交于 2020-01-30 01:30:43

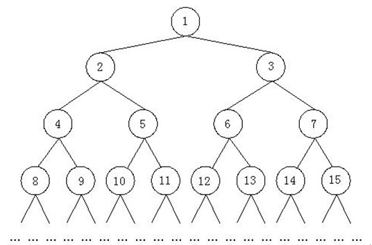
题目描述


如上所示,由正整数1,2,3……组成了一颗特殊二叉树。我们已知这个二叉树的最后一个结点是n。现在的问题是,结点m所在的子树中一共包括多少个结点。
比如,n = 12,m = 3那么上图中的结点13,14,15以及后面的结点都是不存在的,结点m所在子树中包括的结点有3,6,7,12,因此结点m的所在子树中共有4个结点。

输入

输入数据包括多行,每行给出一组测试数据,包括两个整数m,n (1 <= m <= n <= 1000000000)。最后一组测试数据中包括两个0,表示输入的结束,这组数据不用处理。

输出

对于每一组测试数据,输出一行,该行包含一个整数,给出结点m所在子树中包括的结点的数目。

样例输入

3 7
142 6574
2 754
0 0

样例输出

3
63
498

思路

有两种方式:一种是用链式遍历每个节点计数,但是会超时。第二种是数学方法,每一行的节点数等于right-left+1,把每一行相加起来即可。

代码

#include<bits/stdc++.h>
using namespace std;
int main()
{
	int n,m,left,right,cnt;
	while((cin>>m>>n)&&(n!=0&&m!=0))
	{
		cnt=0;
		left=right=m;
		while(left<=n)
		{
			cnt=cnt+right-left+1;//每一层的节点数目为right-left+1。 
			left=2*left;
			right=2*right+1;
			if(right>n) right=n;
		}
		cout<<cnt<<endl;
	}
	return 0;
} 
易学教程内所有资源均来自网络或用户发布的内容,如有违反法律规定的内容欢迎反馈
该文章没有解决你所遇到的问题?点击提问,说说你的问题,让更多的人一起探讨吧!