人工智能教程 - 数学基础课程1.2 - 数学分析(二)-8

只愿长相守 提交于 2020-01-30 00:51:53

等值面,偏导数,切平面逼近

  • Function of 1 variable .f(x)=sin(x)
  • Function of 2 variables:
    given(x, y)\rightarrowget a number f(x, y)
    Example f(x,y)=x2+y2f(x,y)=x^2+y^2
    f(x, y)=temperature at point (x, y)
  • or …3 or more parameters!

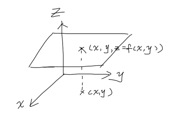
How to visualize f of 2 variables?
\rightarrowgragh: z=f(x, y)
在这里插入图片描述
Ex:
f(x,y)=1x2y2f(x,y)=1-x^2-y^2
\rightarrowin y-z plane: x=0,z=1y2x=0,z=1-y^2
\rightarrowin x-z plane: $y=0,z=1-x^2
\rightarrowin x-y plane: z=0,1x2y2=0z=0,1-x^2-y^2=0
x2+y2=1x^2+y^2=1 (unit circle)

等高线图(Coutour plot)

在这里插入图片描述
Shows all the points where f(x, y)=some fixed value(constant)
chosen at regular values
\Leftrightarrow we slice the graph by horizontal plane z=c
在这里插入图片描述
f(x, y)=1为等高线(level curve)

偏导数(partial derivatives)

1)function of 1 variable f(x)

f(x)=dfdxf'(x)=\frac{df}{dx}

limΔx0f(x+Δx)f(x)Δx\lim_{\Delta x\rightarrow 0}\frac{f(x+\Delta x)-f(x)}{\Delta x}

逼近表达式(Approximation formula)

x0f(x0)x_0\rightarrow f(x_0)

f(x)f(x0)+f(x0).(xx0)f(x)\approx f(x_0)+f'(x_0).(x-x_0)

2)function of 2 variable

fx(x0,y0)=limΔx0f(x0+Δx,y0)f(x0,y0)Δx\frac{\partial f}{\partial x}(x_0,y_0)=\lim_{\Delta x\rightarrow 0}\frac{f(x_0+\Delta x,y_0)-f(x_0,y_0)}{\Delta x}

fy(x0,y0)=limΔy0f(x0,y0+Δy)f(x0,y0)Δy\frac{\partial f}{\partial y}(x_0,y_0)=\lim_{\Delta y\rightarrow 0}\frac{f(x_0,y_0+\Delta y)-f(x_0,y_0)}{\Delta y}

物理上:fx=fx\frac{\partial f}{\partial x}=f_x
treat y as constant
treat x as variable

Ex:
f(x,y)=x3y+y2f(x ,y)=x^3y+y^2

fx=x3+2y\frac{\partial f}{\partial x}=x^3+2y

标签
易学教程内所有资源均来自网络或用户发布的内容,如有违反法律规定的内容欢迎反馈
该文章没有解决你所遇到的问题?点击提问,说说你的问题,让更多的人一起探讨吧!