给定一个链表,返回链表开始入环的第一个节点。 如果链表无环,则返回 null。
为了表示给定链表中的环,我们使用整数 pos 来表示链表尾连接到链表中的位置(索引从 0 开始)。 如果 pos 是 -1,则在该链表中没有环。
说明:不允许修改给定的链表。
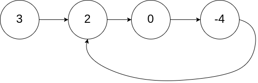
示例 1:
输入:head = [3,2,0,-4], pos = 1
输出:tail connects to node index 1
解释:链表中有一个环,其尾部连接到第二个节点。
示例 2:
输入:head = [1,2], pos = 0
输出:tail connects to node index 0
解释:链表中有一个环,其尾部连接到第一个节点。
示例 3:
输入:head = [1], pos = -1
输出:no cycle
解释:链表中没有环。

进阶:
你是否可以不用额外空间解决此题?
解析:本题在上一题的基础上要求返回环的入口,而上一题的代码仅能够证明是否存在环。
以下是不怎么严谨的数学证明。
设快指针移动步数为f,慢指针移动步数为s
设链表从头节点到链表入口的距离为a,链表环的长度为b,则整个链表的长度为a+b
首先快指针每次移动两步,慢指针每次移动一步. f = 2 * s
当发生上一题的情况,即快指针与慢指针相遇时,必然发生了“套圈”现象。即快指针比满指针多绕环移动了n圈 f = s + n * b (n是一个数,不同的链表n不同,与本题无太多关系)
根据两个式子,可以得到
s = n * b
f = 2 * n * b
之后考虑题目,要求返回链表环的起点
而一个指针需要移动多少步能够到达链表环的起点呢?
a + n * b (n为非负整数,表示绕链表环的次数)
根据s = n * b ,目前的慢指针需要再移动a步便可以到达链表环入口,而从链表头到链表环入口的距离恰好为a
因此将快指针重新置位链表头节点,快慢指针同时移动,每次均移动一步。
当两指针重合时,快指针移动了a步到达链表环入口,慢指针也移动a步共a + n * b步同样到达链表环入口。此时的指针指向的便是链表环入口,返回即可
class Solution {
public:
ListNode *detectCycle(ListNode *head) {
ListNode* fast = head;
ListNode* slow = head;
while(true){
if(!fast || !fast->next) return nullptr;
fast = fast->next->next;
slow = slow->next;
if(fast==slow) break;
}
fast = head;
while(fast!=slow){
fast = fast->next;
slow = slow->next;
}
return slow;
}
};
来源:CSDN
作者:二次元憨批
链接:https://blog.csdn.net/qq_37292201/article/details/104051501