题目描述
给定一棵二叉搜索树,请找出其中的第k小的结点。例如,(5,3,7,2,4,6,8)中,按结点数值大小顺序第三小结点的值为4。
解题思路
首先得搞明白二叉搜索树是个啥,下面是我找到的对于二叉搜索树的定义。
二叉查找树(Binary Search Tree),(又:二叉搜索树,二叉排序树)它或者是一棵空树,或者是具有下列性质的二叉树: 若它的左子树不空,则左子树上所有结点的值均小于它的根结点的值; 若它的右子树不空,则右子树上所有结点的值均大于它的根结点的值; 它的左、右子树也分别为二叉排序树。
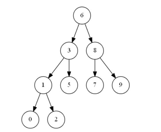
如果还不怎么明白二叉搜索树是啥,可以看看下面这张图,左节点<根节点<右节点。
题目是让寻找第k小的节点,那么就可以先遍历二叉搜索树的左子树的左节点,再遍历左子树的根节点然后是左子树的右节点;左子树完了,再遍历右子树,一直到找到第k小的节点。左-中-右的遍历顺序就是我们学的中序遍历,因此这个题可以用中序遍历来做。每遍历一个非空的节点,k–,一直到我们要找的那个节点为止,k正好是0。
这个题需要注意的是,k是变化的,一开始我直接用k当作变量传进参数去了,结果总是有点意外,于是整了一个成员变量。如果是C++实现的话,使用int &k传到函数里面就行了。
AC代码
/*
public class TreeNode {
int val = 0;
TreeNode left = null;
TreeNode right = null;
public TreeNode(int val) {
this.val = val;
}
}
*/
public class Solution {
public TreeNode res=null;
public int a=0;
TreeNode KthNode(TreeNode root, int k)
{
a=k;
dfs(root);
return res;
}
void dfs(TreeNode root){
if(root==null)
return;
//中序遍历
dfs(root.left);
a--;
if(a==0) {
res=root;
}
dfs(root.right);
}
}
来源:CSDN
作者:NayelyAA
链接:https://blog.csdn.net/weixin_40992982/article/details/104094885