常用操作:
1.求n的第k位数字:n >> k & 1
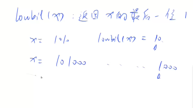
2.返回n的最后一位1:lowbit(n) = n & ( - n )
lowbit(x)是树状数组里面的常规操作
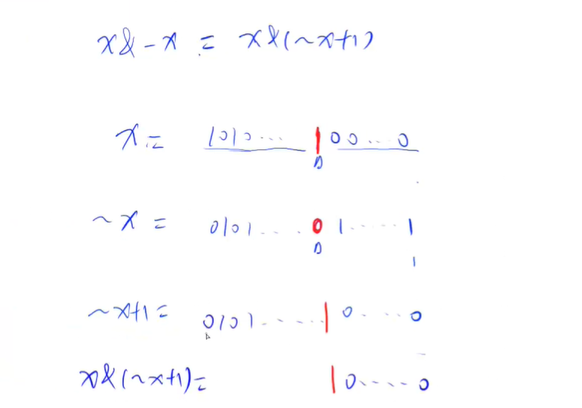
在二进制中x是原码,-x是反码,-x+1是补码:
题目链接:https://www.acwing.com/problem/content/803/
给定一个长度为n的数列,请你求出数列中每个数的二进制表示中1的个数。
数据范围
1≤n≤100000,
0≤数列中元素的值≤109
输入样例:
5
1 2 3 4 5
输出样例:
1 1 2 1 2
思路:既然lowbit(x)可以直接返回x二进制最后一个1的位置代表的数,那么我们就可以利用这个性质来得到x的二进制里1的个数了。
代码实现:
#include<bits/stdc++.h>
using namespace std;
#define lowbit(x) x & (- x)
int main()
{
ios::sync_with_stdio(0);
cin.tie(0);cout.tie(0);
int n; cin >> n;
while(n -- ){
int x; cin >> x;
int ans = 0;
while(x) x -= lowbit(x), ans ++ ;
cout << ans << " ";
}
return 0;
}
来源:CSDN
作者:Saturd
链接:https://blog.csdn.net/Satur9/article/details/104012234