在我们学过RMQ之后,我们知道了倍增法的原理,利用一个二的幂次来维护了每个以2为底数的区间长度。其实简单的说,就是一个合并问题,一个2可以有两个1组成,而一个4可以由两个2组成,以此类推。所以叫做倍增。倍增法通常能用以解决线性问题,譬如区间的最大值,当我们固定左端点的时候,当右端点不断向右移动的时候,不难发现,该区间的最大值也是单调不减的。
好了,一通乱讲之后该回归主题了。
现在,我们提出这样一个问题,我们是不是可以用倍增的方式来求得树上两个点的公共祖先呢?

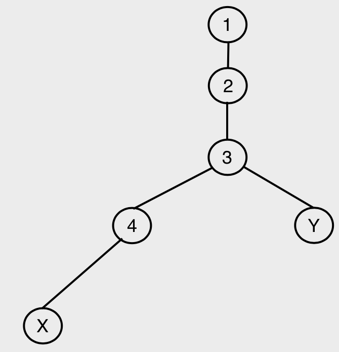
譬如说,如图,有X和Y两个结点,我们想知道他俩的最近公共祖先呢?
给每个结点打上序号标记,方便之后的讲解:

于是乎,我们想知道X和Y的最近公共祖先,我们可以每次让X上升一格,让Y也上升一格,看看他俩的祖先是不是相同的。
【第一步】X会走到2,Y会走到3号结点,发现他两不相同,继续走;
【第二步】X走到1,Y走到1,他俩相同,退出,找到了最近公共祖先。
很容易发现一点,这样的做法是O(N)的。但是能保证其正确性(当X和Y的深度不相同的时候,肯定是要先将深度深的结点移动到深度浅的结点的深度上去)
其中,我们可以做出优化。因为我们可以知道,当向上走的步数越多,那么肯定就越会相同,我们类似就可以使用倍增的方法来进行维护了。

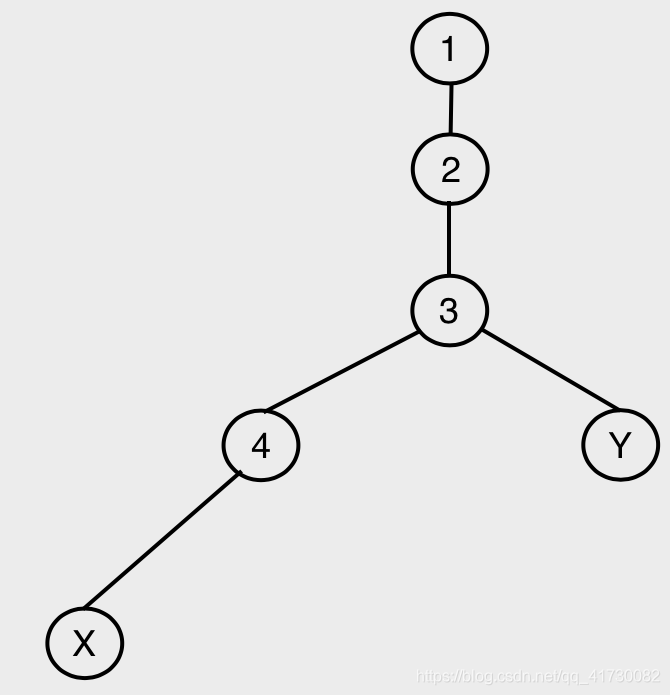
譬如说是这样的一棵树。
当我们先把X升高到和Y同深度的点,也就是X会转到点4上去(现在X在4号点的位置了),我们会发现,当X和Y向上4步的时候都是空,向上两步的时候都是2,向上1步的时候都是3号结点。
但是对于之前的那幅图,X和Y向上一步是不相同的,我们可以让他俩同时向上一步(这样做是有深意的)。我们自此引入倍增法求LCA(最近公共祖先)。
倍增法求LCA:
我们可以用RMQ初始的方法,先跑一遍dfs(),知道了每个结点的父亲是谁,记录给root[x][0],“x”是当前的结点,“root[x][0]”是x结点向上一步得到的点(也被称之为父亲结点)。
然后,我们知道父亲的父亲,就是爷爷,爷爷的爷爷就是曾爷爷(?曾曾?),然后呢,以此类推。我们可以维护出来每个结点的向上
以上的这些做法,在代码上是怎样维护的呢?
我们随便写写:
首先,因为会使用到倍增,然后我就先预处理一下log2()函数:
inline void Pre()
{
for(int i=0, j=0, nex = 2; i<maxN; i++)
{
if(i == nex) { nex <<= 1; j++; }
LOG[i] = j;
}
}
再者往下,我们想知道每个点往上
void dfs(int u, int fa)
{
root[u][0] = fa;
deep[u] = deep[fa] + 1;
for(int i=0; (1 << (i + 1)) < N; i++) //预处理的部分
{
root[u][i + 1] = root[root[u][i]][i];
}
for(int i=head[u], v; ~i; i=edge[i].nex)
{
v = edge[i].to;
if(v == fa) continue;
dfs(v, u);
}
}
其中的deep数组,是用来记录深度的,因为我们要保证深度的统一性。
现在,就是到了我们的求LCA的过程了:
inline int _LCA(int x, int y)
{
if(deep[x] < deep[y]) swap(x, y);
int det = deep[x] - deep[y]; //将深度差转换成二进制的形式
for(int i=LOG[det]; i>=0; i--)
{
if((det >> i) & 1) x = root[x][i];
}
if(x == y) return x; //有些时候,它们实则是一条链上不同深度的两个点
for(int i=LOG[N]; i>=0; i--)
{
if(root[x][i] ^ root[y][i]) //遇到不相同的时候,我们就往上走,不断的逼近真实答案,但一定不会是真实相同,只是无限逼近
{
x = root[x][i];
y = root[y][i];
}
}
return root[x][0];
}
它是一个无限逼近,但永远不会相同的过程,所以最后return的是root[x][0],因为最小逼近单位是1了,我们仅要求是逼近,所以这个时候,X和Y的最近公共祖先,一定是它们往上一个单位了的。但是,我们首先要排除,把它们放到深度相同的位置的时候,就已经是重叠的情况。
完整的过程呢:
dfs(gen, 0); //根结点
int x, y;
scanf("%d%d", &x, &y);
printf("%d\n", _LCA(x, y));
是这样的一个顺序。
放一道模板题:
Nearest Common Ancestors
#include <iostream>
#include <cstdio>
#include <cmath>
#include <string>
#include <cstring>
#include <algorithm>
#include <limits>
#include <vector>
#include <stack>
#include <queue>
#include <set>
#include <map>
#include <bitset>
//#include <unordered_map>
//#include <unordered_set>
#define lowbit(x) ( x&(-x) )
#define pi 3.141592653589793
#define e 2.718281828459045
#define INF 0x3f3f3f3f3f3f3f3f
//#define INF 10000007.
#define eps 1e-7
#define HalF (l + r)>>1
#define lsn rt<<1
#define rsn rt<<1|1
#define Lson lsn, l, mid
#define Rson rsn, mid+1, r
#define QL Lson, ql, qr
#define QR Rson, ql, qr
#define myself rt, l, r
#define MP(a, b) make_pair(a, b)
using namespace std;
typedef unsigned long long ull;
typedef unsigned int uit;
typedef long long ll;
const int maxN = 1e4 + 7;
int N, head[maxN], cnt, du[maxN], gen, root[maxN][20], deep[maxN], LOG[maxN];
struct Eddge
{
int nex, to;
Eddge(int a=-1, int b=0):nex(a), to(b) {}
}edge[maxN << 1];
inline void addEddge(int u, int v)
{
edge[cnt] = Eddge(head[u], v);
head[u] = cnt++;
}
inline void _add(int u, int v) { addEddge(u, v); addEddge(v, u); }
void dfs(int u, int fa)
{
root[u][0] = fa;
deep[u] = deep[fa] + 1;
for(int i=0; (1 << (i + 1)) < N; i++) //预处理的部分
{
root[u][i + 1] = root[root[u][i]][i];
}
for(int i=head[u], v; ~i; i=edge[i].nex)
{
v = edge[i].to;
if(v == fa) continue;
dfs(v, u);
}
}
inline int _LCA(int x, int y)
{
if(deep[x] < deep[y]) swap(x, y);
int det = deep[x] - deep[y]; //将深度差转换成二进制的形式
for(int i=LOG[det]; i>=0; i--)
{
if((det >> i) & 1) x = root[x][i];
}
if(x == y) return x; //有些时候,它们实则是一条链上不同深度的两个点
for(int i=LOG[N]; i>=0; i--)
{
if(root[x][i] ^ root[y][i]) //遇到不相同的时候,我们就往上走,不断的逼近真实答案,但一定不会是真实相同,只是无限逼近
{
x = root[x][i];
y = root[y][i];
}
}
return root[x][0];
}
inline void init()
{
cnt = 0;
for(int i=1; i<=N; i++)
{
du[i] = 0;
head[i] = -1;
}
}
inline void Pre()
{
for(int i=0, j=0, nex = 2; i<maxN; i++)
{
if(i == nex) { nex <<= 1; j++; }
LOG[i] = j;
}
}
int main()
{
Pre();
int T; scanf("%d", &T); deep[0] = 0;
while(T--)
{
scanf("%d", &N);
init();
for(int i=1, u, v; i<N; i++)
{
scanf("%d%d", &u, &v);
addEddge(u, v); du[v]++;
}
for(int i=1; i<=N; i++) if(!du[i]) { gen = i; break; }
dfs(gen, 0); //根结点
int x, y;
scanf("%d%d", &x, &y);
printf("%d\n", _LCA(x, y));
}
return 0;
}
写在最后
我们学完倍增法求LCA之后,要知道的是,倍增不是一种模板,而是一种思维的方式,它在维护线性关系的时候,能起到一个很有效的优化作用。
来源:CSDN
作者:Andres_Lionel
链接:https://blog.csdn.net/qq_41730082/article/details/104087500