十分钟学会graphviz画图

北城以北 提交于 2020-01-26 05:44:17

一、认识graphviz

接触graphviz是几年前的一个项目,要画出数据网络的布局,使用graphviz能比较清楚的画出数据之间的关系。
可以在gallery中查看他能完成的图形:http://www.graphviz.org/gallery/。graphviz最方便的地方在于能够很快的清晰的画出点与点之间的关系,并且有许多布局算法能够很好的去布局。
之前使用它画过流程图,如:

image.png

 

还有决策树。使用twopi画出数据的关联关系:

 

image.png

二、安装graphviz

官网下载:http://www.graphviz.org/download/。
根据自己的版本来选择:

image.png

 

安装在任意喜欢的位置。但是需要把安装目录的graphviz/bin加入环境变量PATH里,我这里只写了相对路径。
打开cmd,输入:dot --help,如果弹出以下信息,就是安装成功:

image.png

三、使用graphviz

3.1 基本信息

graphviz中包含了众多的布局器:

dot 默认布局方式,主要用于有向图
neato 基于spring-model(又称force-based)算法
twopi 径向布局
circo 圆环布局
fdp 用于无向图

以上布局我都使用过,但是个人比较倾向dot和twopi,可以根据需求来画图。

3.2 基本使用

以画一个dot布局为例子:
(1)建立一个first.dot脚本:

 

digraph first2{
a;
b;
c;
d;
a->b;
b->d;
c->d;
}

解释:digraph是画图类型,接触高级使用可以有不同的类型,first2可以和文件名first不一样。画了abcd4个点。然后a->b表示a点指向b点,如果有线条的指向,可以不用先声明点。即,上述代码等价于:

 

digraph first2{
a->b;
b->d;
c->d;
}

(2)画图
打开cmd到first.dot目录下,运行:
dot -Tpng first.dot -o first.png
可以得到画好的图形。
解释:dot表示使用的是dot布局,其他布局相应的修改即可,-T表示格式,即画成png格式,-o表示重命名为first.png。

在这里如果出现syntax error,可看第四部分常见问题解决。

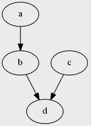
(3)画图结果
上面的简单的代码得到以下结果:

image.png

3.3 高级使用

网上参考一篇博客,写的比较详细,对于很多应用场景都有提到: http://icodeit.org/2012/01/%E4%BD%BF%E7%94%A8graphviz%E7%BB%98%E5%88%B6%E6%B5%81%E7%A8%8B%E5%9B%BE/

但是,想要查询每个属性的信息,可以看官网的查询文档:
Node, Edge and Graph Attributes(属性):https://graphviz.gitlab.io/_pages/doc/info/attrs.html
Node Shapes(节点形状):https://graphviz.gitlab.io/_pages/doc/info/shapes.html
Arrow Shapes(箭头形状):https://graphviz.gitlab.io/_pages/doc/info/arrows.html

四、常见问题

4.1 编译问题

如果遇见以下错误:

image.png

解决:
1、编码问题。
把文件另存为,'utf-8'或'ANSI'(不涉及中文使用时),看是否编译出问题。
2、对于文件格式的识别。
将文件开头加2个空格,其识别的时候,对于第一个字符,在windows下会问题,源于文件的编码格式。

4.2 中文问题

修改文件,Graphviz2.37\etc\fonts\fonts.conf,安装的相对目录。
(1)文件修改
将下列代码:

 

<dir>#WINDOWSFONTDIR#</dir>
<dir>~/.fonts</dir>

修改为:

 

<dir>C:\WINDOWS\Fonts</dir>
<dir>~/.fonts</dir>

(2)文本设置
2.1 文本保存的编码为"utf-8"
2.2 文本中的字体设置
使用的dot文件按照规则属性,设置fontname属性即可:

 

fontname="Microsoft YaHei"
edge [fontname="Microsoft YaHei"];
node [fontname="Microsoft YaHei"];

以上分别是全局、边、节点的设置。

可用的中文,有很多:

 

黑体:SimHei 
宋体:SimSun 
新宋体:NSimSun 
仿宋:FangSong 
楷体:KaiTi 
新细明体:PMingLiU
细明体:MingLiU
标楷体:DFKai-SB
微软正黑体:Microsoft JhengHei
微软雅黑体:Microsoft YaHei 

2.3 dot文件中的中文前后加空格
如:label="节点"应为label=" 节点 "


作者:longgb246
链接:https://www.jianshu.com/p/6d9bbbbf38b1
来源:简书
著作权归作者所有。商业转载请联系作者获得授权,非商业转载请注明出处。

 

标签
易学教程内所有资源均来自网络或用户发布的内容,如有违反法律规定的内容欢迎反馈
该文章没有解决你所遇到的问题?点击提问,说说你的问题,让更多的人一起探讨吧!