用模拟退火算法求解带约束的多元函数极值问题(Java实现)
1.问题描述
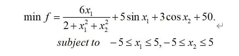
针对如下问题,设计模拟退火算法进行求解。
2.JAVA原代码
SA.java
package SA;
/**
* 实现模拟退火算法
*/
class SA {
public static final int T = 100;// 初始化温度值
public static final double Tmin = 1e-8;// 温度的下界
public static final int k = 10;// 起始点的个数(即迭代的次数)
public static final double delta = 0.99;// 温度的下降率
public static double getRandom() { //获取-5~5范围内的随机数
return (Math.random() - 0.5) * 10;
}
/**
* 求得函数的值
*
* @param x目标函数中的一个参数
* @param y目标函数中的另一个参数
* @return函数值
*/
public static double getFuncResult(double x, double y) {
double result = 6*x/(2 + x*x + y*y) + 5*Math.sin(x) + 3*Math.cos(y) + 50;
return result;
}
/**
* 模拟退火算法的过程
* @param y目标函数中的一个参数
* @return最优解
*/
public static double getSA() {
double result = Double.MAX_VALUE;
double t = T;
double x[] = new double[k];
double y[] = new double[k];
// 初始化初始解
for (int i = 0; i < k; i++) {
x[i] = getRandom();
y[i] = getRandom();
}
// 迭代的过程
while (t > Tmin) {
for (int i = 0; i < k; i++) {
// 计算此时的函数结果
double funTmp = getFuncResult(x[i], y[i]);
// 在邻域内产生新的解
double x_new = x[i] + (Math.random() * 2 - 1) * t;
double y_new = y[i] + (Math.random() * 2 - 1) * t;
// 判断新的x不能超出界
if (x_new >= -5 && x_new <= 5 && y_new >= -5 && y_new <= 5) {
double funTmp_new = getFuncResult(x_new, y_new);
if (funTmp_new - funTmp < 0) {
// 替换
x[i] = x_new;
y[i] = y_new;
} else {
// 以概率替换
double p = 1 / (1 + Math
.exp(-(funTmp_new - funTmp) / T));
if (Math.random() < p) {
x[i] = x_new;
y[i] = y_new;
}
}
}
}
t = t * delta;
}
for (int i = 0; i < k; i++) {
result = Math.min(result, getFuncResult(x[i], y[i]));
}
return result;
}
public static void main(String args[]) {
System.out.println("最优解为:" + getSA());
}
}
3.运行结果
最优解为:41.320471723578265
来源:CSDN
作者:dai19981003
链接:https://blog.csdn.net/dai19981003/article/details/103748242