前、中、后序遍历二叉树

喜你入骨 提交于 2020-01-25 01:11:19

后序遍历

后序遍历首先遍历左子树,然后遍历右子树,最后访问根结点,在遍历左、右子树时,仍然先遍历左子树,然后遍历右子树,最后遍历根结点。即:

二叉树为空则结束返回,

否则:

(1)后序遍历左子树

(2)后序遍历右子树

(3)访问根结点

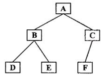
如右图所示二叉树

后序遍历结果:DEBFCA

中序遍历

中序遍历首先遍历左子树,然后访问根结点,最后遍历右子树。若二叉树为空则结束返回,否则:

(1)中序遍历左子树

(2)访问根结点

(3)中序遍历右子树

如右图所示二叉树,中序遍历结果:DBEAFC

前序遍历

前序遍历首先访问根结点然后遍历左子树,最后遍历右子树。在遍历左、右子树时,仍然先访问根结点,然后遍历左子树,最后遍历右子树。

二叉树为空则结束返回,否则:

(1)访问根结点。

(2)前序遍历左子树

(3)前序遍历右子树 。

前序遍历前序遍历

需要注意的是:遍历左右子树时仍然采用前序遍历方法。

如右图所示二叉树

前序遍历结果:ABDECF

已知后序遍历和中序遍历,就能确定前序遍历。

易学教程内所有资源均来自网络或用户发布的内容,如有违反法律规定的内容欢迎反馈
该文章没有解决你所遇到的问题?点击提问,说说你的问题,让更多的人一起探讨吧!