leetcode 1325. 删除给定值的叶子节点(C++)

依然范特西╮ 提交于 2020-01-24 22:12:57

给你一棵以 root 为根的二叉树和一个整数 target ,请你删除所有值为 target 的 叶子节点 。

注意,一旦删除值为 target 的叶子节点,它的父节点就可能变成叶子节点;如果新叶子节点的值恰好也是 target ,那么这个节点也应该被删除。

也就是说,你需要重复此过程直到不能继续删除。

 

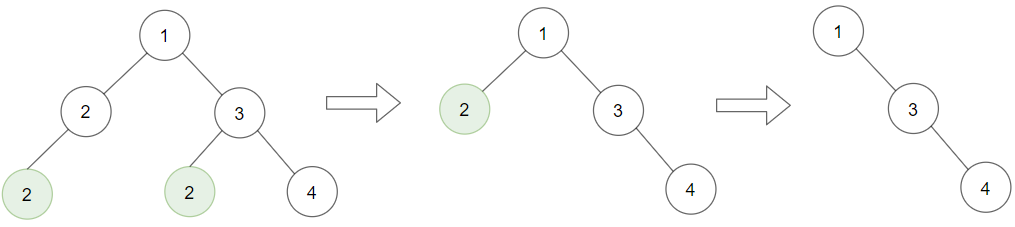
示例 1:

输入:root = [1,2,3,2,null,2,4], target = 2
输出:[1,null,3,null,4]
解释:
上面左边的图中,绿色节点为叶子节点,且它们的值与 target 相同(同为 2 ),它们会被删除,得到中间的图。
有一个新的节点变成了叶子节点且它的值与 target 相同,所以将再次进行删除,从而得到最右边的图。

示例 2:

输入:root = [1,3,3,3,2], target = 3
输出:[1,3,null,null,2]

示例 3:

输入:root = [1,2,null,2,null,2], target = 2
输出:[1]
解释:每一步都删除一个绿色的叶子节点(值为 2)。

示例 4:

输入:root = [1,1,1], target = 1
输出:[]

示例 5:

输入:root = [1,2,3], target = 1
输出:[1,2,3]

 

提示:

  • 1 <= target <= 1000
  • 每一棵树最多有 3000 个节点。
  • 每一个节点值的范围是 [1, 1000] 。

C++

/**
 * Definition for a binary tree node.
 * struct TreeNode {
 *     int val;
 *     TreeNode *left;
 *     TreeNode *right;
 *     TreeNode(int x) : val(x), left(NULL), right(NULL) {}
 * };
 */
class Solution {
public:
    TreeNode* removeLeafNodes(TreeNode* root, int target) 
    {
        if(NULL==root)
        {
            return root;
        }
        root->left=removeLeafNodes(root->left,target);
        root->right=removeLeafNodes(root->right,target);
        if(NULL==root->left && NULL==root->right)
        {
            if(root->val==target)
            {
                return NULL;
            }
        }
        return root;
    }
};

 

标签
易学教程内所有资源均来自网络或用户发布的内容,如有违反法律规定的内容欢迎反馈
该文章没有解决你所遇到的问题?点击提问,说说你的问题,让更多的人一起探讨吧!