软件工程作业-3
作业要求
最大连续子数组和(最大子段和):
给定n个整数(可能为负数)组成的序列a[1],a[2],a[3],…,a[n],求该序列如a[i]+a[i+1]+…+a[j]的子段和的最大值。当所给的整数均为负数时定义子段和为0,依此定义,所求的最优值为: Max{0,a[i]+a[i+1]+…+a[j]},1<=i<=j<=n
例如,当(a[1],a[2],a[3],a[4],a[5],a[6])=(-2,11,-4,13,-5,-2)时,最大子段和为20。(1) 写出可运行的完整代码提交至GitHub或者Coding.net系统中,并将代码地址附到博客内
(2) 请从语句覆盖、判定覆盖、条件覆盖、判定/条件覆盖、条件组合覆盖五个覆盖标准中(条件组合覆盖难度较大,鼓励尝试,但请谨慎选择),任选一个标准设计测试用例
(3) 请利用自动测试工具对程序进行测试
(4) 请将程序运行结果和自动测试分析结果截图附到博客中
题目分析
给定一个数组,求最大子数组和.这个子数组从数组的任意位置开始,任意位置结束.采用for循环遍历数组,用变量sum来存储累加和,当然,sum值小于等于0的时候,被累加的这一段数组便被抛弃,从新的数组元素开始累加.每累加一次,便和存储最大值的max变量比较,如果比max大,就让max等于sum,防止sum在累加完后变小.最后输出max值即为最大子数组和.
测试过程分析
采用 条件组合覆盖 进行测试
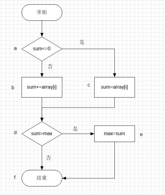
条件选择的程序流程图

要满足每个判定条件的各种可能组合都至少出现一次,则abdf,abdef,acdf,acdef都要执行到,使用测试用例{0,2,-1,2}便可满足这一条件
测试过程
1.在eclipse中构建ArrayMaxSum类,编写测试代码

2.用数组{0,2,-1,2}和数组{0,-1,-1,0}进行运行

3.新建包arraymaxsum.Test用于测试,在包中新建用于测试ArrayMaxSum的测试类.并进行测试,测试用例为{0,2,-1,2}
代码
ArrayMaxSum类
package arraymaxsum;
import java.util.Scanner;
public class ArrayMaxSum {
private static Scanner inputArray;
public static void main(String[] args) {
System.out.println("输入数组个数:");
inputArray = new Scanner(System.in);
int length = inputArray.nextInt();
int[] array = new int[length];
System.out.println("输入数字:");
for(int i = 0; i < length; i++) {
array[i] = inputArray.nextInt();
}
int result = arrayMaxSum(array);
//System.out.println(array[2]);
System.out.println("最大子数组和:"+result);
}
public static int arrayMaxSum(int[] array) {
if (array.length == 0 || array == null) {
return 0;
}
int sum = 0;
int max = 0;
for(int i = 0; i < array.length; i++) {
if(sum <= 0) {
sum = array[i];
}
else {
sum += array[i];
}
if(sum>max) {
max = sum;
}
}
return max;
}
}
ArrayMaxSumTest类
package arraymaxsum.Test;
import static org.junit.Assert.*;
import org.junit.Test;
import arraymaxsum.ArrayMaxSum;
public class ArrayMaxSumTest {
int[] array = {0,2,-1,2};
@Test
public void testArrayMaxSum() {
assertEquals(3,new ArrayMaxSum().arrayMaxSum(array));
}
}
来源:https://www.cnblogs.com/Luoyuanlong/p/10746803.html