signals and systems
序言
世间纷繁,人采映像。
对不可再分物质的不断追寻,是世人探究世界原码的终极体现。从有穷到无限,乃问题的两个分支,有穷是有限制的(restrictive),具体问题的分解;无限是站在现今的边界,寻求新的突破。
系统是人创造性的抽象(abstraction),对于解决问题颇有增益,它的特点:
- 内部强联系
- 外部弱联系
由此,可对单个系统进行分析。而系统之间可以通过力、信息传递相互作用。即为信号与系统的核心问题。
系统举例:CPU、芯片、电机、服务器、喷气机(jumbo jet)、太阳系……
思考:
热力系统(热力学第零定律所述,两个系统的平衡)
集合、矩阵等数学概念,一个封闭的体系
物理的力学分析,合外力为零,单独分析
电路的二端网络,输入和输出性质固定
学校等实体,按照一个既有的形式运作,大环境下处于稳态
discrete time
离散化表示是解决问题的一个方法。
重要性在于:
- 电脑是离散的系统
- 大多数概念同时适用于离散和连续
思考:
离散和连续的相互转化是处理问题的常见手段:
微积分中,积分是由一个个离散的值的累积概念引出,逐步逼近到无穷,即为连续;微分将连续,离散化处理后便是某个点的趋势,这个趋势在离散的区域可显示出。
视频流,无法复现完整的活动。将高频的帧数连贯,人眼可见便是连续的动画效果。同理,每一帧的影像,虽可看作是一个瞬间的记录,但记录的过程是空间的光线连续投射。
rabbits(斐波那契数列)
斐波那契问题,是一个离散的问题。
熟悉的数列,看到文中提到数列的对数化是线性的图像,刚看到有些不理解,用python编程可视化实现验证:
a1=1
a2=1
for i in range(0,limit):
x.append(i)
an=a1+a2
a2=a1
a1=an
y.append(an)
lny.append(math.log(an))
logy.append(math.log(an,10))
斐波那契数列
对数化
思考:
人口增长模型,logistics模型初始阶段即为指数增长。
固数列可拟合为:
求Z将数列后一项与前一项做比:
这个网站提供逆向推导数字来源
在python中验证拟合公式:
结果首先是这样的,差项到最后反而增大?

打印末尾几项进行观察,比较大的数字,怀疑数字过大溢出,数列项数减小到50
:
可得:
最后的思考问题:

经过验证,的确如此
我认为,联想到刚才的溢出问题,是否因为计算机计算指数精度有限?
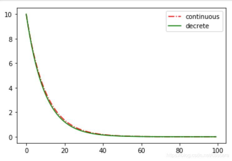
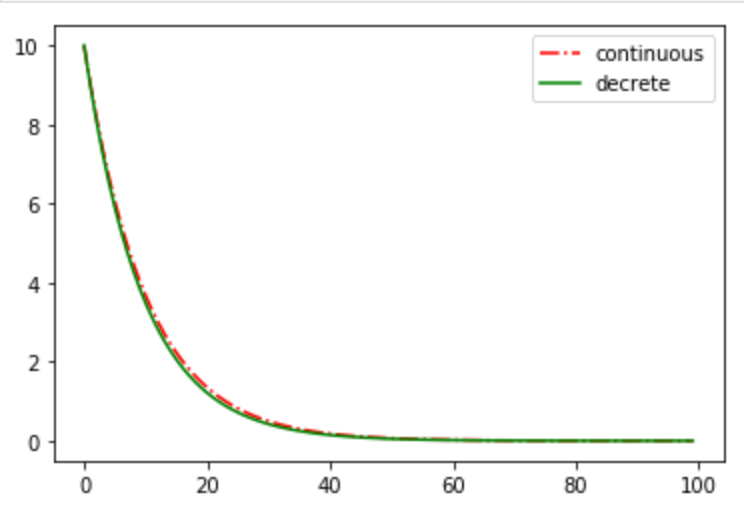
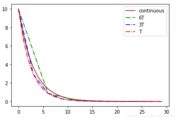
leak tank(一阶微分方程)
经典的一阶微分方程,方程的形式很熟悉,但同样可以进行离散化处理——将单个周期的衰减以初始速率计算。拟合效果确实很好。
h0=10
c=10 #time constant
limit=100
hc=[] #continuous
hd=[] #decrete
T=[] #timestep
for t in range(0,limit):
T.append(t)
hc.append(h0*math.exp(-t/c))
hd.append(h0*math.pow(1-1/c,t))

思考:
可以想到,图中的两条曲线其实都是离散化的显示,只是将离散区间逼近零。
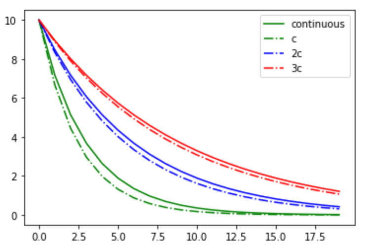
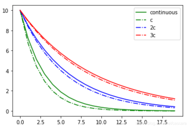
后面,看到更有力的解释:
- 时间常数

- 周期数

fall of a fog droplet(二阶微分方程)
- 新技能get
欧拉近似法解常微分方程


经测试,无法完成仿真,数字溢出。记录接近极限值。
这个专题同时增强了我对自然现象的理解:
雾相当于云落到地面,我们看到的雾,正是天上的云运动至此,它们历经夜晚降落人间。
与自然相伴,真理在眼前
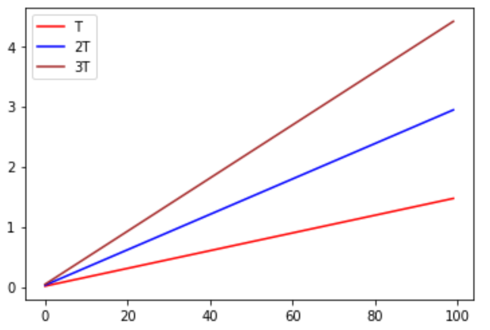
用欧拉估计法与用拉普拉斯变换求解微分方程后绘制曲线基本重合。

- 周期T关系

- 时间常数

很奇怪,和预想不符。
看到比例系数是,认为一个成正比,另一个成反比。但结果是都成正比。检查后应该无误。
springs(二阶微分方程)
仍然根据欧拉估计法得到离散公式:
调整参数后,得到发散图像
思考:
这个结果不难理解:稳态是一种条件较高的状态,因此不 对称(symmetric) 的公式在无穷的情况下一定结果不是稳态。
下面验证极大值随时间增长而增大,虽然在明显的图中可以直观看到。
但在将和都缩小后,图像的发散趋势并不明显:
然而此时的极大值随时间的变化趋势仍呈线性,故不稳定而发散是必然的结果。
另一种情况是归零:

最后采用对称的公式:
调整参数之前,虽然图形是对称的,但图像都较奇怪,想到可能是取的参数每次都是周期上固定的位置,固图像并非连续。
调整之后:
验证之后趋于稳态:
看到之后的思考题,我愣了一下,初态规定与的值,之后的稳态却超过了这个值,忽略它确实能主观接受,但思考这个问题还是比较有益:
首先,物体在这段时间内移动的距离使其具有一定的加速度,因此能够继续移动。
不过初始态同时为1却得到超出的结果还是让人有些费解:凭空很难想象结果为此。
至此,对常接触的微分方程理解更加深入。
微分方程与模块化
设计系统
输入和输出相同
设计将一个系统的信号传递下去,即可将小系统联合为一个大系统。
来源:CSDN
作者:积极向上的药鼠李
链接:https://blog.csdn.net/cascara/article/details/103904731





