树状数组是一种有效更新元素并计算前缀和的数据结构。
给定一个数组,需要进行上述操作。朴素算法是线性时间复杂度,而树状数组允许在O(logn)的时间内执行这两个操作。
假设原数组为a,与之等价的树状数组为c,有如下关系:
$\begin{cases} \ c[x]=\sum_{i=x-lowbit(x)+1}^{x}a[i] \\ \ lowbit(x)=x\&(-x) \end{cases}$
lowbit(x)截取x的二进制形式中最低位的1及其后面的0,因此x-lowbit(x)可以抹去x的二进制形式中最低位的1。
比如(以下数值均为二进制),lowbit(10110)=10,10110-lowbit(10110)=10100。
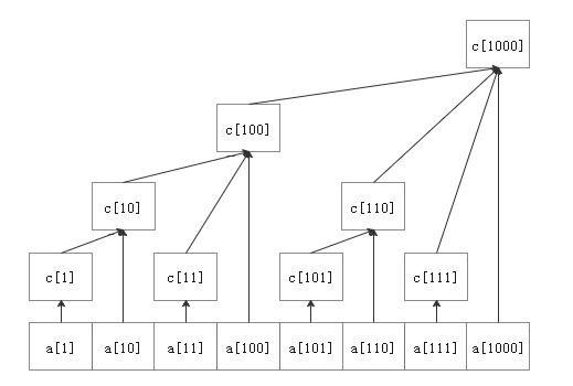
等价关系的图像形式如图所示:

其中每个结点的值都等于其子孙结点值的和。
由图可以看出更新操作只需不断向上修改父结点,由关系式得出计算前缀和操作只需以lowbit为跨度求c数组的和。既然操作是抬升或消除二进制中的尾1,那么总操作次数必定小于等于二进制位数,这是对数级别的。
#define lowbit(x) x&-x
const int S;
int c[S] = {0};
void add(int x, int d){
while(x <= S) c[x] += d,x += lowbit(x);
}
int sum(int x){
int ret = 0;
while(x > 0) ret += c[x], x -= lowbit(x);
return ret;
}
来源:https://www.cnblogs.com/nioh/p/12229987.html