1.
从键盘上输⼊⼀个数,显示它的绝对值(不允许使⽤abs)。
答案:
num = int(input("请输入一个数字:"))
if num > 0:
print("%d的绝对值为%d" %(num, num))
else:
print("%d的绝对值为%d" %(num, -num))
2.
假设⽤户名为admin,密码为123abc,从控制台分别输⼊⽤户名和密码,如果和已知⽤户名和密码都匹配上的话,则验证成功,否则验证失败。
答案:
user = input("请输入用户名:")
password = input("请输入密码:")
if user == "admin" and password == "123abc":
print("验证成功")
else:
print("验证失败")
3.
计算⾯积
编写程序,由⽤户输⼊的三⻆形的三条边,计算三⻆形的⾯积。
答案:
import math
a, b, c = eval(input("请分别输入三角形的三个边长,用逗号分隔:"))
if a + b < c or a + c < b or b + c < a:
print("无法构成三角形")
else:
L = (a + b + c) / 2
s = math.sqrt(L * (L - a) * (L - b) * (L - c))
print("三角形的面积为" + str(s))
4.
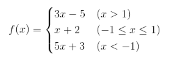
已知有分段函数:
从键盘上输⼊x的值,输出f(x)的值。
答案:
x = eval(input("请输入x的值:"))
if x > 1:
print("f(x)的值为%d" %(3 * x - 5))
elif -1 <= x <= 1:
print("f(x)的值为%d" %(x + 2))
else:
print("f(x)的值为%d" % (5 * x + 3))
5.
百分制成绩转换为等级制成绩。要求:
如果输⼊的成绩在90分以上(含90分)输出A;80分-90分(不含90分)输出B;70分-80分(不含80分)输出C;60分-70分(不含70分)输出D;60分以下输出E。
答案:
score = eval(input("请输入成绩:"))
if score >= 90:
print("A")
elif score >= 80:
print("B")
elif score >= 70:
print("C")
elif score >= 60:
print("D")
else:
print("E")
6.
任给两个实数,判断这两个实数作为坐标所在的象限。
例如给2.5 -5.6显示在第4象限!
提示:考虑在坐标轴上和原点的情况。
答案:
x, y = eval(input("请输入x和y,用逗号分隔:"))
if x == 0:
if y == 0:
print("原点")
else:
print("y轴")
else:
if x > 0:
if y == 0:
print("X轴")
else:
if y > 0:
print("第一象限")
else:
print("第四象限")
else:
if y == 0:
print("X轴")
else:
if y > 0:
print("第二象限")
else:
print("第三象限")
7.
写一个四则运算器,运⾏界⾯如下:
不要求连续做,每次只做⼀种运算
功能菜单:
------------------------------------------
[1]加法[2]减法
[3]乘法[4]除法
[0]退出
------------------------------------------
请输⼊您的选择(0—4):1
请输⼊第⼀个数:5
请输⼊第⼆个数:3
3 + 5 = 8
答案:
print("------------------------------------------")
print("[1]加法[2]减法")
print("[3]乘法[4]除法")
print("[0]退出")
print("------------------------------------------")
func = eval(input("请输⼊您的选择(0—4):"))
num1 = eval(input("请输⼊第⼀个数:"))
num2 = eval(input("请输⼊第二个数:"))
if func == 1:
res = num1 + num2
link = "+"
if func == 2:
res = num1 - num2
link = "-"
if func == 3:
res = num1 * num2
link = "*"
if func == 4:
res = num1 / num2
link = "/"
if func == 0:
exit(0)
print("%d %s %d = %d" %(num1, link, num2, res))
来源:CSDN
作者:ForsetiRe
链接:https://blog.csdn.net/ForsetiRe/article/details/103933064