参考内容:https://blog.csdn.net/weixin_39605679/article/details/81170300
SVM 支持向量机是一种二分类模型,它的基本模型是定义在特征空间上的间隔最大的分类器,SVM还包含核技巧,这使它可以成为非线性的分类器。SVM的学习策略就是间隔最大化。
算法原理
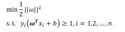
SVM 学习的基本思想就是求解能够正确划分训练数据集并且几何间隔距离最大的超平面。
对于线性可分的数据,超平面(w*x+b=0)有无穷多个,但是几何间隔最大的超平面是唯一的

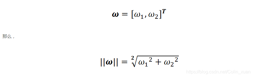
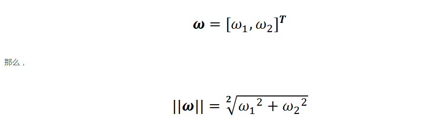
几何间隔: 对于给定的数据集和超平面,定义超平面关于样本点(Xi,Yi)的几何间隔为
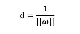
根据点到直线的距离

扩展到超平面距离为:

这个d 就是分类间隔。
||W|| 表示w的二范数,即求所有元素的平方和,然后开方,比如对于二维平面:

分类器的好坏评定依据就是分类间隔W=2d的大小,W越大,我们认为超平面分类效果越好,现在问题变成了最大化问题
约束条件:
至此我们已经获得了目标函数的数学形式,但是为了求解w的最大值,我们需要解决下面问题:
1: 如何判断超平面将样本点正确分类。
2 : 我们知道了求距离d的最大值,首先需要找到支持向量上的点,如何从众多的点中选出支持向量上的点呢?
上面需要面对的问题就是约束条件,也就是我们优化的变量d的取值范围受到了限制和约束条件。SVM算法通过一些巧妙的技巧,将约束条件融合到一个不等式里。
下面讲述这个不等式。
1 解决约束条件中的第一个问题:
每个样本点都有一个类别标签,如果我们的超平面方程能够完全正确的讲上图样本点正确分类,就会满足下面的方程:

可以理解为,正样本都在这个平面上方,负样本都在这个平面下方。
如果我们要求再高一点,使得超平面在间隔区域的中轴线上,并且相应的支持向量上对应的样本点到决策面上的距离为d,上面公式可以进一步写成:

两边同时除以d:


我们对Wd Rd 重新起个名,变成下面的方程:

把上面式子整合在 一起就是:

我们在上面把标签设置为1 和-1 这样的标记方便我们将上述方程变成如上方式。。
解决办法:
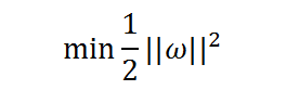
1 目标函数:使得d最大化

所有支持向量上的样本点满足如下公式:

所以讲目标函数进一步简化为:(支持向量那条线和决策线是平行的,根据两条平行线的距离公式)

最大化d ,等价于最小化

我们把目标函数和约束条件放在一起:

st 表示 服从某某条件的意思。这个也就是支持向量机基本数学模型。
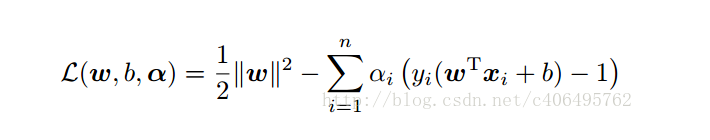
求解:
定理:非凸函数,我们无法得到全局最优解,只能活得局部最优解,所以我们先把目标函数转换成凸函数
判断是否是凸函数:

至此我们将我们的问题归纳为凸函数优化问题,怎么解决这个问题,需要用到的就是拉格朗日函数。
需要两个步骤:
1 将有约束的原始目标函数转换为无约束的新构造的拉格朗日目标函数

为了我们的初衷,我们建立了如下函数:

然后接下来使用KKT条件,拉格朗日对偶,最后利用SMO算子求出拉格朗日的乘子。
最后的目标函数变为:

封装函数 在主函数中包含这个头文件 就可以使用SVM 训练和预测数据了
#include <iostream>
#include <vector>
#include <list>
#include"svm.h"
using namespace std;
class ClassificationSVM
{
public:
void train(const std::string& modelFileName);
double predict(const vector<double>& vec, const std::string& modelFileName, vector<double>& prob);
void setParam();
void AddTrainData(const vector<double>& vec, int dim, double label);
svm_parameter param;
svm_problem prob;//all the data for train
std::list<svm_node*> dataList;//list of features of all the samples
std::list<double> typeList;//list of type of all the samples
int sampleNum;
svm_model* svm_load;
//bool* judgeRight;
};
void ClassificationSVM::setParam()
{
param.svm_type = C_SVC;
param.kernel_type = RBF;
param.degree = 3;
param.gamma = 2.8;
param.coef0 = 0;
param.nu = 0.5;
//以下为训练时才用到
param.cache_size = 400;
param.C = 50; //惩罚因子
param.eps = 1e-4;
param.p = 0.1;
param.shrinking = 1;
param.nr_weight = 0;
param.weight = NULL;
param.weight_label = NULL;
param.probability = 1;
}
void ClassificationSVM::AddTrainData(const vector<double>& vec, int dim, double label) //从一个vector特征向量中读入到svm_node链表中
{
svm_node* features = new svm_node[dim + 1];
for (int k = 0; k < dim; k++)
{
features[k].index = k + 1;//特征标号,从1开始
features[k].value = vec[k];//特征值
}
features[dim].index = -1;//结束标记
double type = label; //标签
dataList.push_back(features);
typeList.push_back(type);
sampleNum++; //增加计数
}
void ClassificationSVM::train(const string& modelFileName)
{
cout << sampleNum << endl;
prob.l = sampleNum;//number of training samples
prob.x = new svm_node *[prob.l];//features of all the training samples
prob.y = new double[prob.l];//每个样本的标签
int index = 0;
while (!dataList.empty())
{
prob.x[index] = dataList.front();
prob.y[index] = typeList.front();
dataList.pop_front();
typeList.pop_front();
index++;
}
cout << "start training" << endl;
setParam();
svm_model *svmModel = svm_train(&prob, ¶m);
cout << "save model" << endl;
svm_save_model(modelFileName.c_str(), svmModel);
cout << "done!" << endl;
delete[] prob.x;
delete[] prob.y;
}
double ClassificationSVM::predict(const vector<double>& vec, const string& modelFileName, vector<double>& prob)
{
double* probability = new double[2];
std::vector<bool> judgeRight;
//double result[2] = {0, 0};
if (svm_load == NULL)
svm_load = svm_load_model(modelFileName.c_str());
int dim = vec.size();
svm_node* input = new svm_node[dim + 1];
for (int k = 0; k < dim; k++)
{
input[k].index = k + 1;//特征标号,从1开始
input[k].value = vec[k];//特征值
}
input[dim].index = -1;//结束标记
double predictValue;
if (svm_check_probability_model(svm_load) == 1)
predictValue = svm_predict_probability(svm_load, input, probability);
prob.push_back(probability[0]);
prob.push_back(probability[1]);
delete[] input;
delete probability;
return predictValue;
}
svm.h svm.cpp
#include "stdafx.h"
#include <math.h>
#include <stdio.h>
#include <stdlib.h>
#include <ctype.h>
#include <float.h>
#include <string.h>
#include <stdarg.h>
#include <limits.h>
#include <locale.h>
#include "svm.h"
int libsvm_version = LIBSVM_VERSION;
typedef float Qfloat;
typedef signed char schar;
#ifndef min
template <class T> static inline T min(T x,T y) { return (x<y)?x:y; }
#endif
#ifndef max
template <class T> static inline T max(T x,T y) { return (x>y)?x:y; }
#endif
template <class T> static inline void swap(T& x, T& y) { T t=x; x=y; y=t; }
template <class S, class T> static inline void clone(T*& dst, S* src, int n)
{
dst = new T[n];
memcpy((void *)dst,(void *)src,sizeof(T)*n);
}
static inline double powi(double base, int times)
{
double tmp = base, ret = 1.0;
for(int t=times; t>0; t/=2)
{
if(t%2==1) ret*=tmp;
tmp = tmp * tmp;
}
return ret;
}
#define INF HUGE_VAL
#define TAU 1e-12
#define Malloc(type,n) (type *)malloc((n)*sizeof(type))
static void print_string_stdout(const char *s)
{
fputs(s,stdout);
fflush(stdout);
}
static void (*svm_print_string) (const char *) = &print_string_stdout;
#if 1
static void info(const char *fmt,...)
{
char buf[BUFSIZ];
va_list ap;
va_start(ap,fmt);
vsprintf(buf,fmt,ap);
va_end(ap);
(*svm_print_string)(buf);
}
#else
static void info(const char *fmt,...) {}
#endif
//
// Kernel Cache
//
// l is the number of total data items
// size is the cache size limit in bytes
//
class Cache
{
public:
Cache(int l,long int size);
~Cache();
// request data [0,len)
// return some position p where [p,len) need to be filled
// (p >= len if nothing needs to be filled)
int get_data(const int index, Qfloat **data, int len);
void swap_index(int i, int j);
private:
int l;
long int size;
struct head_t
{
head_t *prev, *next; // a circular list
Qfloat *data;
int len; // data[0,len) is cached in this entry
};
head_t *head;
head_t lru_head;
void lru_delete(head_t *h);
void lru_insert(head_t *h);
};
Cache::Cache(int l_,long int size_):l(l_),size(size_)
{
head = (head_t *)calloc(l,sizeof(head_t)); // initialized to 0
size /= sizeof(Qfloat);
size -= l * sizeof(head_t) / sizeof(Qfloat);
size = max(size, 2 * (long int) l); // cache must be large enough for two columns
lru_head.next = lru_head.prev = &lru_head;
}
Cache::~Cache()
{
for(head_t *h = lru_head.next; h != &lru_head; h=h->next)
free(h->data);
free(head);
}
void Cache::lru_delete(head_t *h)
{
// delete from current location
h->prev->next = h->next;
h->next->prev = h->prev;
}
void Cache::lru_insert(head_t *h)
{
// insert to last position
h->next = &lru_head;
h->prev = lru_head.prev;
h->prev->next = h;
h->next->prev = h;
}
int Cache::get_data(const int index, Qfloat **data, int len)
{
head_t *h = &head[index];
if(h->len) lru_delete(h);
int more = len - h->len;
if(more > 0)
{
// free old space
while(size < more)
{
head_t *old = lru_head.next;
lru_delete(old);
free(old->data);
size += old->len;
old->data = 0;
old->len = 0;
}
// allocate new space
h->data = (Qfloat *)realloc(h->data,sizeof(Qfloat)*len);
size -= more;
swap(h->len,len);
}
lru_insert(h);
*data = h->data;
return len;
}
void Cache::swap_index(int i, int j)
{
if(i==j) return;
if(head[i].len) lru_delete(&head[i]);
if(head[j].len) lru_delete(&head[j]);
swap(head[i].data,head[j].data);
swap(head[i].len,head[j].len);
if(head[i].len) lru_insert(&head[i]);
if(head[j].len) lru_insert(&head[j]);
if(i>j) swap(i,j);
for(head_t *h = lru_head.next; h!=&lru_head; h=h->next)
{
if(h->len > i)
{
if(h->len > j)
swap(h->data[i],h->data[j]);
else
{
// give up
lru_delete(h);
free(h->data);
size += h->len;
h->data = 0;
h->len = 0;
}
}
}
}
//
// Kernel evaluation
//
// the static method k_function is for doing single kernel evaluation
// the constructor of Kernel prepares to calculate the l*l kernel matrix
// the member function get_Q is for getting one column from the Q Matrix
//
class QMatrix {
public:
virtual Qfloat *get_Q(int column, int len) const = 0;
virtual double *get_QD() const = 0;
virtual void swap_index(int i, int j) const = 0;
virtual ~QMatrix() {}
};
class Kernel: public QMatrix {
public:
Kernel(int l, svm_node * const * x, const svm_parameter& param);
virtual ~Kernel();
static double k_function(const svm_node *x, const svm_node *y,
const svm_parameter& param);
virtual Qfloat *get_Q(int column, int len) const = 0;
virtual double *get_QD() const = 0;
virtual void swap_index(int i, int j) const // no so const...
{
swap(x[i],x[j]);
if(x_square) swap(x_square[i],x_square[j]);
}
protected:
double (Kernel::*kernel_function)(int i, int j) const;
private:
const svm_node **x;
double *x_square;
// svm_parameter
const int kernel_type;
const int degree;
const double gamma;
const double coef0;
static double dot(const svm_node *px, const svm_node *py);
double kernel_linear(int i, int j) const
{
return dot(x[i],x[j]);
}
double kernel_poly(int i, int j) const
{
return powi(gamma*dot(x[i],x[j])+coef0,degree);
}
double kernel_rbf(int i, int j) const
{
return exp(-gamma*(x_square[i]+x_square[j]-2*dot(x[i],x[j])));
}
double kernel_sigmoid(int i, int j) const
{
return tanh(gamma*dot(x[i],x[j])+coef0);
}
double kernel_precomputed(int i, int j) const
{
return x[i][(int)(x[j][0].value)].value;
}
};
Kernel::Kernel(int l, svm_node * const * x_, const svm_parameter& param)
:kernel_type(param.kernel_type), degree(param.degree),
gamma(param.gamma), coef0(param.coef0)
{
switch(kernel_type)
{
case LINEAR:
kernel_function = &Kernel::kernel_linear;
break;
case POLY:
kernel_function = &Kernel::kernel_poly;
break;
case RBF:
kernel_function = &Kernel::kernel_rbf;
break;
case SIGMOID:
kernel_function = &Kernel::kernel_sigmoid;
break;
case PRECOMPUTED:
kernel_function = &Kernel::kernel_precomputed;
break;
}
clone(x,x_,l);
if(kernel_type == RBF)
{
x_square = new double[l];
for(int i=0;i<l;i++)
x_square[i] = dot(x[i],x[i]);
}
else
x_square = 0;
}
Kernel::~Kernel()
{
delete[] x;
delete[] x_square;
}
double Kernel::dot(const svm_node *px, const svm_node *py)
{
double sum = 0;
while(px->index != -1 && py->index != -1)
{
if(px->index == py->index)
{
sum += px->value * py->value;
++px;
++py;
}
else
{
if(px->index > py->index)
++py;
else
++px;
}
}
return sum;
}
double Kernel::k_function(const svm_node *x, const svm_node *y,
const svm_parameter& param)
{
switch(param.kernel_type)
{
case LINEAR:
return dot(x,y);
case POLY:
return powi(param.gamma*dot(x,y)+param.coef0,param.degree);
case RBF:
{
double sum = 0;
while(x->index != -1 && y->index !=-1)
{
if(x->index == y->index)
{
double d = x->value - y->value;
sum += d*d;
++x;
++y;
}
else
{
if(x->index > y->index)
{
sum += y->value * y->value;
++y;
}
else
{
sum += x->value * x->value;
++x;
}
}
}
while(x->index != -1)
{
sum += x->value * x->value;
++x;
}
while(y->index != -1)
{
sum += y->value * y->value;
++y;
}
return exp(-param.gamma*sum);
}
case SIGMOID:
return tanh(param.gamma*dot(x,y)+param.coef0);
case PRECOMPUTED: //x: test (validation), y: SV
return x[(int)(y->value)].value;
default:
return 0; // Unreachable
}
}
// An SMO algorithm in Fan et al., JMLR 6(2005), p. 1889--1918
// Solves:
//
// min 0.5(\alpha^T Q \alpha) + p^T \alpha
//
// y^T \alpha = \delta
// y_i = +1 or -1
// 0 <= alpha_i <= Cp for y_i = 1
// 0 <= alpha_i <= Cn for y_i = -1
//
// Given:
//
// Q, p, y, Cp, Cn, and an initial feasible point \alpha
// l is the size of vectors and matrices
// eps is the stopping tolerance
//
// solution will be put in \alpha, objective value will be put in obj
//
class Solver {
public:
Solver() {};
virtual ~Solver() {};
struct SolutionInfo {
double obj;
double rho;
double upper_bound_p;
double upper_bound_n;
double r; // for Solver_NU
};
void Solve(int l, const QMatrix& Q, const double *p_, const schar *y_,
double *alpha_, double Cp, double Cn, double eps,
SolutionInfo* si, int shrinking);
protected:
int active_size;
schar *y;
double *G; // gradient of objective function
enum { LOWER_BOUND, UPPER_BOUND, FREE };
char *alpha_status; // LOWER_BOUND, UPPER_BOUND, FREE
double *alpha;
const QMatrix *Q;
const double *QD;
double eps;
double Cp,Cn;
double *p;
int *active_set;
double *G_bar; // gradient, if we treat free variables as 0
int l;
bool unshrink; // XXX
double get_C(int i)
{
return (y[i] > 0)? Cp : Cn;
}
void update_alpha_status(int i)
{
if(alpha[i] >= get_C(i))
alpha_status[i] = UPPER_BOUND;
else if(alpha[i] <= 0)
alpha_status[i] = LOWER_BOUND;
else alpha_status[i] = FREE;
}
bool is_upper_bound(int i) { return alpha_status[i] == UPPER_BOUND; }
bool is_lower_bound(int i) { return alpha_status[i] == LOWER_BOUND; }
bool is_free(int i) { return alpha_status[i] == FREE; }
void swap_index(int i, int j);
void reconstruct_gradient();
virtual int select_working_set(int &i, int &j);
virtual double calculate_rho();
virtual void do_shrinking();
private:
bool be_shrunk(int i, double Gmax1, double Gmax2);
};
void Solver::swap_index(int i, int j)
{
Q->swap_index(i,j);
swap(y[i],y[j]);
swap(G[i],G[j]);
swap(alpha_status[i],alpha_status[j]);
swap(alpha[i],alpha[j]);
swap(p[i],p[j]);
swap(active_set[i],active_set[j]);
swap(G_bar[i],G_bar[j]);
}
void Solver::reconstruct_gradient()
{
// reconstruct inactive elements of G from G_bar and free variables
if(active_size == l) return;
int i,j;
int nr_free = 0;
for(j=active_size;j<l;j++)
G[j] = G_bar[j] + p[j];
for(j=0;j<active_size;j++)
if(is_free(j))
nr_free++;
if(2*nr_free < active_size)
info("\nWARNING: using -h 0 may be faster\n");
if (nr_free*l > 2*active_size*(l-active_size))
{
for(i=active_size;i<l;i++)
{
const Qfloat *Q_i = Q->get_Q(i,active_size);
for(j=0;j<active_size;j++)
if(is_free(j))
G[i] += alpha[j] * Q_i[j];
}
}
else
{
for(i=0;i<active_size;i++)
if(is_free(i))
{
const Qfloat *Q_i = Q->get_Q(i,l);
double alpha_i = alpha[i];
for(j=active_size;j<l;j++)
G[j] += alpha_i * Q_i[j];
}
}
}
void Solver::Solve(int l, const QMatrix& Q, const double *p_, const schar *y_,
double *alpha_, double Cp, double Cn, double eps,
SolutionInfo* si, int shrinking)
{
this->l = l;
this->Q = &Q;
QD=Q.get_QD();
clone(p, p_,l);
clone(y, y_,l);
clone(alpha,alpha_,l);
this->Cp = Cp;
this->Cn = Cn;
this->eps = eps;
unshrink = false;
// initialize alpha_status
{
alpha_status = new char[l];
for(int i=0;i<l;i++)
update_alpha_status(i);
}
// initialize active set (for shrinking)
{
active_set = new int[l];
for(int i=0;i<l;i++)
active_set[i] = i;
active_size = l;
}
// initialize gradient
{
G = new double[l];
G_bar = new double[l];
int i;
for(i=0;i<l;i++)
{
G[i] = p[i];
G_bar[i] = 0;
}
for(i=0;i<l;i++)
if(!is_lower_bound(i))
{
const Qfloat *Q_i = Q.get_Q(i,l);
double alpha_i = alpha[i];
int j;
for(j=0;j<l;j++)
G[j] += alpha_i*Q_i[j];
if(is_upper_bound(i))
for(j=0;j<l;j++)
G_bar[j] += get_C(i) * Q_i[j];
}
}
// optimization step
int iter = 0;
int max_iter = max(10000000, l>INT_MAX/100 ? INT_MAX : 100*l);
int counter = min(l,1000)+1;
while(iter < max_iter)
{
// show progress and do shrinking
if(--counter == 0)
{
counter = min(l,1000);
if(shrinking) do_shrinking();
info(".");
}
int i,j;
if(select_working_set(i,j)!=0)
{
// reconstruct the whole gradient
reconstruct_gradient();
// reset active set size and check
active_size = l;
info("*");
if(select_working_set(i,j)!=0)
break;
else
counter = 1; // do shrinking next iteration
}
++iter;
// update alpha[i] and alpha[j], handle bounds carefully
const Qfloat *Q_i = Q.get_Q(i,active_size);
const Qfloat *Q_j = Q.get_Q(j,active_size);
double C_i = get_C(i);
double C_j = get_C(j);
double old_alpha_i = alpha[i];
double old_alpha_j = alpha[j];
if(y[i]!=y[j])
{
double quad_coef = QD[i]+QD[j]+2*Q_i[j];
if (quad_coef <= 0)
quad_coef = TAU;
double delta = (-G[i]-G[j])/quad_coef;
double diff = alpha[i] - alpha[j];
alpha[i] += delta;
alpha[j] += delta;
if(diff > 0)
{
if(alpha[j] < 0)
{
alpha[j] = 0;
alpha[i] = diff;
}
}
else
{
if(alpha[i] < 0)
{
alpha[i] = 0;
alpha[j] = -diff;
}
}
if(diff > C_i - C_j)
{
if(alpha[i] > C_i)
{
alpha[i] = C_i;
alpha[j] = C_i - diff;
}
}
else
{
if(alpha[j] > C_j)
{
alpha[j] = C_j;
alpha[i] = C_j + diff;
}
}
}
else
{
double quad_coef = QD[i]+QD[j]-2*Q_i[j];
if (quad_coef <= 0)
quad_coef = TAU;
double delta = (G[i]-G[j])/quad_coef;
double sum = alpha[i] + alpha[j];
alpha[i] -= delta;
alpha[j] += delta;
if(sum > C_i)
{
if(alpha[i] > C_i)
{
alpha[i] = C_i;
alpha[j] = sum - C_i;
}
}
else
{
if(alpha[j] < 0)
{
alpha[j] = 0;
alpha[i] = sum;
}
}
if(sum > C_j)
{
if(alpha[j] > C_j)
{
alpha[j] = C_j;
alpha[i] = sum - C_j;
}
}
else
{
if(alpha[i] < 0)
{
alpha[i] = 0;
alpha[j] = sum;
}
}
}
// update G
double delta_alpha_i = alpha[i] - old_alpha_i;
double delta_alpha_j = alpha[j] - old_alpha_j;
for(int k=0;k<active_size;k++)
{
G[k] += Q_i[k]*delta_alpha_i + Q_j[k]*delta_alpha_j;
}
// update alpha_status and G_bar
{
bool ui = is_upper_bound(i);
bool uj = is_upper_bound(j);
update_alpha_status(i);
update_alpha_status(j);
int k;
if(ui != is_upper_bound(i))
{
Q_i = Q.get_Q(i,l);
if(ui)
for(k=0;k<l;k++)
G_bar[k] -= C_i * Q_i[k];
else
for(k=0;k<l;k++)
G_bar[k] += C_i * Q_i[k];
}
if(uj != is_upper_bound(j))
{
Q_j = Q.get_Q(j,l);
if(uj)
for(k=0;k<l;k++)
G_bar[k] -= C_j * Q_j[k];
else
for(k=0;k<l;k++)
G_bar[k] += C_j * Q_j[k];
}
}
}
if(iter >= max_iter)
{
if(active_size < l)
{
// reconstruct the whole gradient to calculate objective value
reconstruct_gradient();
active_size = l;
info("*");
}
fprintf(stderr,"\nWARNING: reaching max number of iterations\n");
}
// calculate rho
si->rho = calculate_rho();
// calculate objective value
{
double v = 0;
int i;
for(i=0;i<l;i++)
v += alpha[i] * (G[i] + p[i]);
si->obj = v/2;
}
// put back the solution
{
for(int i=0;i<l;i++)
alpha_[active_set[i]] = alpha[i];
}
// juggle everything back
/*{
for(int i=0;i<l;i++)
while(active_set[i] != i)
swap_index(i,active_set[i]);
// or Q.swap_index(i,active_set[i]);
}*/
si->upper_bound_p = Cp;
si->upper_bound_n = Cn;
info("\noptimization finished, #iter = %d\n",iter);
delete[] p;
delete[] y;
delete[] alpha;
delete[] alpha_status;
delete[] active_set;
delete[] G;
delete[] G_bar;
}
// return 1 if already optimal, return 0 otherwise
int Solver::select_working_set(int &out_i, int &out_j)
{
// return i,j such that
// i: maximizes -y_i * grad(f)_i, i in I_up(\alpha)
// j: minimizes the decrease of obj value
// (if quadratic coefficeint <= 0, replace it with tau)
// -y_j*grad(f)_j < -y_i*grad(f)_i, j in I_low(\alpha)
double Gmax = -INF;
double Gmax2 = -INF;
int Gmax_idx = -1;
int Gmin_idx = -1;
double obj_diff_min = INF;
for(int t=0;t<active_size;t++)
if(y[t]==+1)
{
if(!is_upper_bound(t))
if(-G[t] >= Gmax)
{
Gmax = -G[t];
Gmax_idx = t;
}
}
else
{
if(!is_lower_bound(t))
if(G[t] >= Gmax)
{
Gmax = G[t];
Gmax_idx = t;
}
}
int i = Gmax_idx;
const Qfloat *Q_i = NULL;
if(i != -1) // NULL Q_i not accessed: Gmax=-INF if i=-1
Q_i = Q->get_Q(i,active_size);
for(int j=0;j<active_size;j++)
{
if(y[j]==+1)
{
if (!is_lower_bound(j))
{
double grad_diff=Gmax+G[j];
if (G[j] >= Gmax2)
Gmax2 = G[j];
if (grad_diff > 0)
{
double obj_diff;
double quad_coef = QD[i]+QD[j]-2.0*y[i]*Q_i[j];
if (quad_coef > 0)
obj_diff = -(grad_diff*grad_diff)/quad_coef;
else
obj_diff = -(grad_diff*grad_diff)/TAU;
if (obj_diff <= obj_diff_min)
{
Gmin_idx=j;
obj_diff_min = obj_diff;
}
}
}
}
else
{
if (!is_upper_bound(j))
{
double grad_diff= Gmax-G[j];
if (-G[j] >= Gmax2)
Gmax2 = -G[j];
if (grad_diff > 0)
{
double obj_diff;
double quad_coef = QD[i]+QD[j]+2.0*y[i]*Q_i[j];
if (quad_coef > 0)
obj_diff = -(grad_diff*grad_diff)/quad_coef;
else
obj_diff = -(grad_diff*grad_diff)/TAU;
if (obj_diff <= obj_diff_min)
{
Gmin_idx=j;
obj_diff_min = obj_diff;
}
}
}
}
}
if(Gmax+Gmax2 < eps || Gmin_idx == -1)
return 1;
out_i = Gmax_idx;
out_j = Gmin_idx;
return 0;
}
bool Solver::be_shrunk(int i, double Gmax1, double Gmax2)
{
if(is_upper_bound(i))
{
if(y[i]==+1)
return(-G[i] > Gmax1);
else
return(-G[i] > Gmax2);
}
else if(is_lower_bound(i))
{
if(y[i]==+1)
return(G[i] > Gmax2);
else
return(G[i] > Gmax1);
}
else
return(false);
}
void Solver::do_shrinking()
{
int i;
double Gmax1 = -INF; // max { -y_i * grad(f)_i | i in I_up(\alpha) }
double Gmax2 = -INF; // max { y_i * grad(f)_i | i in I_low(\alpha) }
// find maximal violating pair first
for(i=0;i<active_size;i++)
{
if(y[i]==+1)
{
if(!is_upper_bound(i))
{
if(-G[i] >= Gmax1)
Gmax1 = -G[i];
}
if(!is_lower_bound(i))
{
if(G[i] >= Gmax2)
Gmax2 = G[i];
}
}
else
{
if(!is_upper_bound(i))
{
if(-G[i] >= Gmax2)
Gmax2 = -G[i];
}
if(!is_lower_bound(i))
{
if(G[i] >= Gmax1)
Gmax1 = G[i];
}
}
}
if(unshrink == false && Gmax1 + Gmax2 <= eps*10)
{
unshrink = true;
reconstruct_gradient();
active_size = l;
info("*");
}
for(i=0;i<active_size;i++)
if (be_shrunk(i, Gmax1, Gmax2))
{
active_size--;
while (active_size > i)
{
if (!be_shrunk(active_size, Gmax1, Gmax2))
{
swap_index(i,active_size);
break;
}
active_size--;
}
}
}
double Solver::calculate_rho()
{
double r;
int nr_free = 0;
double ub = INF, lb = -INF, sum_free = 0;
for(int i=0;i<active_size;i++)
{
double yG = y[i]*G[i];
if(is_upper_bound(i))
{
if(y[i]==-1)
ub = min(ub,yG);
else
lb = max(lb,yG);
}
else if(is_lower_bound(i))
{
if(y[i]==+1)
ub = min(ub,yG);
else
lb = max(lb,yG);
}
else
{
++nr_free;
sum_free += yG;
}
}
if(nr_free>0)
r = sum_free/nr_free;
else
r = (ub+lb)/2;
return r;
}
//
// Solver for nu-svm classification and regression
//
// additional constraint: e^T \alpha = constant
//
class Solver_NU: public Solver
{
public:
Solver_NU() {}
void Solve(int l, const QMatrix& Q, const double *p, const schar *y,
double *alpha, double Cp, double Cn, double eps,
SolutionInfo* si, int shrinking)
{
this->si = si;
Solver::Solve(l,Q,p,y,alpha,Cp,Cn,eps,si,shrinking);
}
private:
SolutionInfo *si;
int select_working_set(int &i, int &j);
double calculate_rho();
bool be_shrunk(int i, double Gmax1, double Gmax2, double Gmax3, double Gmax4);
void do_shrinking();
};
// return 1 if already optimal, return 0 otherwise
int Solver_NU::select_working_set(int &out_i, int &out_j)
{
// return i,j such that y_i = y_j and
// i: maximizes -y_i * grad(f)_i, i in I_up(\alpha)
// j: minimizes the decrease of obj value
// (if quadratic coefficeint <= 0, replace it with tau)
// -y_j*grad(f)_j < -y_i*grad(f)_i, j in I_low(\alpha)
double Gmaxp = -INF;
double Gmaxp2 = -INF;
int Gmaxp_idx = -1;
double Gmaxn = -INF;
double Gmaxn2 = -INF;
int Gmaxn_idx = -1;
int Gmin_idx = -1;
double obj_diff_min = INF;
for(int t=0;t<active_size;t++)
if(y[t]==+1)
{
if(!is_upper_bound(t))
if(-G[t] >= Gmaxp)
{
Gmaxp = -G[t];
Gmaxp_idx = t;
}
}
else
{
if(!is_lower_bound(t))
if(G[t] >= Gmaxn)
{
Gmaxn = G[t];
Gmaxn_idx = t;
}
}
int ip = Gmaxp_idx;
int in = Gmaxn_idx;
const Qfloat *Q_ip = NULL;
const Qfloat *Q_in = NULL;
if(ip != -1) // NULL Q_ip not accessed: Gmaxp=-INF if ip=-1
Q_ip = Q->get_Q(ip,active_size);
if(in != -1)
Q_in = Q->get_Q(in,active_size);
for(int j=0;j<active_size;j++)
{
if(y[j]==+1)
{
if (!is_lower_bound(j))
{
double grad_diff=Gmaxp+G[j];
if (G[j] >= Gmaxp2)
Gmaxp2 = G[j];
if (grad_diff > 0)
{
double obj_diff;
double quad_coef = QD[ip]+QD[j]-2*Q_ip[j];
if (quad_coef > 0)
obj_diff = -(grad_diff*grad_diff)/quad_coef;
else
obj_diff = -(grad_diff*grad_diff)/TAU;
if (obj_diff <= obj_diff_min)
{
Gmin_idx=j;
obj_diff_min = obj_diff;
}
}
}
}
else
{
if (!is_upper_bound(j))
{
double grad_diff=Gmaxn-G[j];
if (-G[j] >= Gmaxn2)
Gmaxn2 = -G[j];
if (grad_diff > 0)
{
double obj_diff;
double quad_coef = QD[in]+QD[j]-2*Q_in[j];
if (quad_coef > 0)
obj_diff = -(grad_diff*grad_diff)/quad_coef;
else
obj_diff = -(grad_diff*grad_diff)/TAU;
if (obj_diff <= obj_diff_min)
{
Gmin_idx=j;
obj_diff_min = obj_diff;
}
}
}
}
}
if(max(Gmaxp+Gmaxp2,Gmaxn+Gmaxn2) < eps || Gmin_idx == -1)
return 1;
if (y[Gmin_idx] == +1)
out_i = Gmaxp_idx;
else
out_i = Gmaxn_idx;
out_j = Gmin_idx;
return 0;
}
bool Solver_NU::be_shrunk(int i, double Gmax1, double Gmax2, double Gmax3, double Gmax4)
{
if(is_upper_bound(i))
{
if(y[i]==+1)
return(-G[i] > Gmax1);
else
return(-G[i] > Gmax4);
}
else if(is_lower_bound(i))
{
if(y[i]==+1)
return(G[i] > Gmax2);
else
return(G[i] > Gmax3);
}
else
return(false);
}
void Solver_NU::do_shrinking()
{
double Gmax1 = -INF; // max { -y_i * grad(f)_i | y_i = +1, i in I_up(\alpha) }
double Gmax2 = -INF; // max { y_i * grad(f)_i | y_i = +1, i in I_low(\alpha) }
double Gmax3 = -INF; // max { -y_i * grad(f)_i | y_i = -1, i in I_up(\alpha) }
double Gmax4 = -INF; // max { y_i * grad(f)_i | y_i = -1, i in I_low(\alpha) }
// find maximal violating pair first
int i;
for(i=0;i<active_size;i++)
{
if(!is_upper_bound(i))
{
if(y[i]==+1)
{
if(-G[i] > Gmax1) Gmax1 = -G[i];
}
else if(-G[i] > Gmax4) Gmax4 = -G[i];
}
if(!is_lower_bound(i))
{
if(y[i]==+1)
{
if(G[i] > Gmax2) Gmax2 = G[i];
}
else if(G[i] > Gmax3) Gmax3 = G[i];
}
}
if(unshrink == false && max(Gmax1+Gmax2,Gmax3+Gmax4) <= eps*10)
{
unshrink = true;
reconstruct_gradient();
active_size = l;
}
for(i=0;i<active_size;i++)
if (be_shrunk(i, Gmax1, Gmax2, Gmax3, Gmax4))
{
active_size--;
while (active_size > i)
{
if (!be_shrunk(active_size, Gmax1, Gmax2, Gmax3, Gmax4))
{
swap_index(i,active_size);
break;
}
active_size--;
}
}
}
double Solver_NU::calculate_rho()
{
int nr_free1 = 0,nr_free2 = 0;
double ub1 = INF, ub2 = INF;
double lb1 = -INF, lb2 = -INF;
double sum_free1 = 0, sum_free2 = 0;
for(int i=0;i<active_size;i++)
{
if(y[i]==+1)
{
if(is_upper_bound(i))
lb1 = max(lb1,G[i]);
else if(is_lower_bound(i))
ub1 = min(ub1,G[i]);
else
{
++nr_free1;
sum_free1 += G[i];
}
}
else
{
if(is_upper_bound(i))
lb2 = max(lb2,G[i]);
else if(is_lower_bound(i))
ub2 = min(ub2,G[i]);
else
{
++nr_free2;
sum_free2 += G[i];
}
}
}
double r1,r2;
if(nr_free1 > 0)
r1 = sum_free1/nr_free1;
else
r1 = (ub1+lb1)/2;
if(nr_free2 > 0)
r2 = sum_free2/nr_free2;
else
r2 = (ub2+lb2)/2;
si->r = (r1+r2)/2;
return (r1-r2)/2;
}
//
// Q matrices for various formulations
//
class SVC_Q: public Kernel
{
public:
SVC_Q(const svm_problem& prob, const svm_parameter& param, const schar *y_)
:Kernel(prob.l, prob.x, param)
{
clone(y,y_,prob.l);
cache = new Cache(prob.l,(long int)(param.cache_size*(1<<20)));
QD = new double[prob.l];
for(int i=0;i<prob.l;i++)
QD[i] = (this->*kernel_function)(i,i);
}
Qfloat *get_Q(int i, int len) const
{
Qfloat *data;
int start, j;
if((start = cache->get_data(i,&data,len)) < len)
{
for(j=start;j<len;j++)
data[j] = (Qfloat)(y[i]*y[j]*(this->*kernel_function)(i,j));
}
return data;
}
double *get_QD() const
{
return QD;
}
void swap_index(int i, int j) const
{
cache->swap_index(i,j);
Kernel::swap_index(i,j);
swap(y[i],y[j]);
swap(QD[i],QD[j]);
}
~SVC_Q()
{
delete[] y;
delete cache;
delete[] QD;
}
private:
schar *y;
Cache *cache;
double *QD;
};
class ONE_CLASS_Q: public Kernel
{
public:
ONE_CLASS_Q(const svm_problem& prob, const svm_parameter& param)
:Kernel(prob.l, prob.x, param)
{
cache = new Cache(prob.l,(long int)(param.cache_size*(1<<20)));
QD = new double[prob.l];
for(int i=0;i<prob.l;i++)
QD[i] = (this->*kernel_function)(i,i);
}
Qfloat *get_Q(int i, int len) const
{
Qfloat *data;
int start, j;
if((start = cache->get_data(i,&data,len)) < len)
{
for(j=start;j<len;j++)
data[j] = (Qfloat)(this->*kernel_function)(i,j);
}
return data;
}
double *get_QD() const
{
return QD;
}
void swap_index(int i, int j) const
{
cache->swap_index(i,j);
Kernel::swap_index(i,j);
swap(QD[i],QD[j]);
}
~ONE_CLASS_Q()
{
delete cache;
delete[] QD;
}
private:
Cache *cache;
double *QD;
};
class SVR_Q: public Kernel
{
public:
SVR_Q(const svm_problem& prob, const svm_parameter& param)
:Kernel(prob.l, prob.x, param)
{
l = prob.l;
cache = new Cache(l,(long int)(param.cache_size*(1<<20)));
QD = new double[2*l];
sign = new schar[2*l];
index = new int[2*l];
for(int k=0;k<l;k++)
{
sign[k] = 1;
sign[k+l] = -1;
index[k] = k;
index[k+l] = k;
QD[k] = (this->*kernel_function)(k,k);
QD[k+l] = QD[k];
}
buffer[0] = new Qfloat[2*l];
buffer[1] = new Qfloat[2*l];
next_buffer = 0;
}
void swap_index(int i, int j) const
{
swap(sign[i],sign[j]);
swap(index[i],index[j]);
swap(QD[i],QD[j]);
}
Qfloat *get_Q(int i, int len) const
{
Qfloat *data;
int j, real_i = index[i];
if(cache->get_data(real_i,&data,l) < l)
{
for(j=0;j<l;j++)
data[j] = (Qfloat)(this->*kernel_function)(real_i,j);
}
// reorder and copy
Qfloat *buf = buffer[next_buffer];
next_buffer = 1 - next_buffer;
schar si = sign[i];
for(j=0;j<len;j++)
buf[j] = (Qfloat) si * (Qfloat) sign[j] * data[index[j]];
return buf;
}
double *get_QD() const
{
return QD;
}
~SVR_Q()
{
delete cache;
delete[] sign;
delete[] index;
delete[] buffer[0];
delete[] buffer[1];
delete[] QD;
}
private:
int l;
Cache *cache;
schar *sign;
int *index;
mutable int next_buffer;
Qfloat *buffer[2];
double *QD;
};
//
// construct and solve various formulations
//
static void solve_c_svc(
const svm_problem *prob, const svm_parameter* param,
double *alpha, Solver::SolutionInfo* si, double Cp, double Cn)
{
int l = prob->l;
double *minus_ones = new double[l];
schar *y = new schar[l];
int i;
for(i=0;i<l;i++)
{
alpha[i] = 0;
minus_ones[i] = -1;
if(prob->y[i] > 0) y[i] = +1; else y[i] = -1;
}
Solver s;
s.Solve(l, SVC_Q(*prob,*param,y), minus_ones, y,
alpha, Cp, Cn, param->eps, si, param->shrinking);
double sum_alpha=0;
for(i=0;i<l;i++)
sum_alpha += alpha[i];
if (Cp==Cn)
info("nu = %f\n", sum_alpha/(Cp*prob->l));
for(i=0;i<l;i++)
alpha[i] *= y[i];
delete[] minus_ones;
delete[] y;
}
static void solve_nu_svc(
const svm_problem *prob, const svm_parameter *param,
double *alpha, Solver::SolutionInfo* si)
{
int i;
int l = prob->l;
double nu = param->nu;
schar *y = new schar[l];
for(i=0;i<l;i++)
if(prob->y[i]>0)
y[i] = +1;
else
y[i] = -1;
double sum_pos = nu*l/2;
double sum_neg = nu*l/2;
for(i=0;i<l;i++)
if(y[i] == +1)
{
alpha[i] = min(1.0,sum_pos);
sum_pos -= alpha[i];
}
else
{
alpha[i] = min(1.0,sum_neg);
sum_neg -= alpha[i];
}
double *zeros = new double[l];
for(i=0;i<l;i++)
zeros[i] = 0;
Solver_NU s;
s.Solve(l, SVC_Q(*prob,*param,y), zeros, y,
alpha, 1.0, 1.0, param->eps, si, param->shrinking);
double r = si->r;
info("C = %f\n",1/r);
for(i=0;i<l;i++)
alpha[i] *= y[i]/r;
si->rho /= r;
si->obj /= (r*r);
si->upper_bound_p = 1/r;
si->upper_bound_n = 1/r;
delete[] y;
delete[] zeros;
}
static void solve_one_class(
const svm_problem *prob, const svm_parameter *param,
double *alpha, Solver::SolutionInfo* si)
{
int l = prob->l;
double *zeros = new double[l];
schar *ones = new schar[l];
int i;
int n = (int)(param->nu*prob->l); // # of alpha's at upper bound
for(i=0;i<n;i++)
alpha[i] = 1;
if(n<prob->l)
alpha[n] = param->nu * prob->l - n;
for(i=n+1;i<l;i++)
alpha[i] = 0;
for(i=0;i<l;i++)
{
zeros[i] = 0;
ones[i] = 1;
}
Solver s;
s.Solve(l, ONE_CLASS_Q(*prob,*param), zeros, ones,
alpha, 1.0, 1.0, param->eps, si, param->shrinking);
delete[] zeros;
delete[] ones;
}
static void solve_epsilon_svr(
const svm_problem *prob, const svm_parameter *param,
double *alpha, Solver::SolutionInfo* si)
{
int l = prob->l;
double *alpha2 = new double[2*l];
double *linear_term = new double[2*l];
schar *y = new schar[2*l];
int i;
for(i=0;i<l;i++)
{
alpha2[i] = 0;
linear_term[i] = param->p - prob->y[i];
y[i] = 1;
alpha2[i+l] = 0;
linear_term[i+l] = param->p + prob->y[i];
y[i+l] = -1;
}
Solver s;
s.Solve(2*l, SVR_Q(*prob,*param), linear_term, y,
alpha2, param->C, param->C, param->eps, si, param->shrinking);
double sum_alpha = 0;
for(i=0;i<l;i++)
{
alpha[i] = alpha2[i] - alpha2[i+l];
sum_alpha += fabs(alpha[i]);
}
info("nu = %f\n",sum_alpha/(param->C*l));
delete[] alpha2;
delete[] linear_term;
delete[] y;
}
static void solve_nu_svr(
const svm_problem *prob, const svm_parameter *param,
double *alpha, Solver::SolutionInfo* si)
{
int l = prob->l;
double C = param->C;
double *alpha2 = new double[2*l];
double *linear_term = new double[2*l];
schar *y = new schar[2*l];
int i;
double sum = C * param->nu * l / 2;
for(i=0;i<l;i++)
{
alpha2[i] = alpha2[i+l] = min(sum,C);
sum -= alpha2[i];
linear_term[i] = - prob->y[i];
y[i] = 1;
linear_term[i+l] = prob->y[i];
y[i+l] = -1;
}
Solver_NU s;
s.Solve(2*l, SVR_Q(*prob,*param), linear_term, y,
alpha2, C, C, param->eps, si, param->shrinking);
info("epsilon = %f\n",-si->r);
for(i=0;i<l;i++)
alpha[i] = alpha2[i] - alpha2[i+l];
delete[] alpha2;
delete[] linear_term;
delete[] y;
}
//
// decision_function
//
struct decision_function
{
double *alpha;
double rho;
};
static decision_function svm_train_one(
const svm_problem *prob, const svm_parameter *param,
double Cp, double Cn)
{
double *alpha = Malloc(double,prob->l);
Solver::SolutionInfo si;
switch(param->svm_type)
{
case C_SVC:
solve_c_svc(prob,param,alpha,&si,Cp,Cn);
break;
case NU_SVC:
solve_nu_svc(prob,param,alpha,&si);
break;
case ONE_CLASS:
solve_one_class(prob,param,alpha,&si);
break;
case EPSILON_SVR:
solve_epsilon_svr(prob,param,alpha,&si);
break;
case NU_SVR:
solve_nu_svr(prob,param,alpha,&si);
break;
}
info("obj = %f, rho = %f\n",si.obj,si.rho);
// output SVs
int nSV = 0;
int nBSV = 0;
for(int i=0;i<prob->l;i++)
{
if(fabs(alpha[i]) > 0)
{
++nSV;
if(prob->y[i] > 0)
{
if(fabs(alpha[i]) >= si.upper_bound_p)
++nBSV;
}
else
{
if(fabs(alpha[i]) >= si.upper_bound_n)
++nBSV;
}
}
}
info("nSV = %d, nBSV = %d\n",nSV,nBSV);
decision_function f;
f.alpha = alpha;
f.rho = si.rho;
return f;
}
// Platt's binary SVM Probablistic Output: an improvement from Lin et al.
static void sigmoid_train(
int l, const double *dec_values, const double *labels,
double& A, double& B)
{
double prior1=0, prior0 = 0;
int i;
for (i=0;i<l;i++)
if (labels[i] > 0) prior1+=1;
else prior0+=1;
int max_iter=100; // Maximal number of iterations
double min_step=1e-10; // Minimal step taken in line search
double sigma=1e-12; // For numerically strict PD of Hessian
double eps=1e-5;
double hiTarget=(prior1+1.0)/(prior1+2.0);
double loTarget=1/(prior0+2.0);
double *t=Malloc(double,l);
double fApB,p,q,h11,h22,h21,g1,g2,det,dA,dB,gd,stepsize;
double newA,newB,newf,d1,d2;
int iter;
// Initial Point and Initial Fun Value
A=0.0; B=log((prior0+1.0)/(prior1+1.0));
double fval = 0.0;
for (i=0;i<l;i++)
{
if (labels[i]>0) t[i]=hiTarget;
else t[i]=loTarget;
fApB = dec_values[i]*A+B;
if (fApB>=0)
fval += t[i]*fApB + log(1+exp(-fApB));
else
fval += (t[i] - 1)*fApB +log(1+exp(fApB));
}
for (iter=0;iter<max_iter;iter++)
{
// Update Gradient and Hessian (use H' = H + sigma I)
h11=sigma; // numerically ensures strict PD
h22=sigma;
h21=0.0;g1=0.0;g2=0.0;
for (i=0;i<l;i++)
{
fApB = dec_values[i]*A+B;
if (fApB >= 0)
{
p=exp(-fApB)/(1.0+exp(-fApB));
q=1.0/(1.0+exp(-fApB));
}
else
{
p=1.0/(1.0+exp(fApB));
q=exp(fApB)/(1.0+exp(fApB));
}
d2=p*q;
h11+=dec_values[i]*dec_values[i]*d2;
h22+=d2;
h21+=dec_values[i]*d2;
d1=t[i]-p;
g1+=dec_values[i]*d1;
g2+=d1;
}
// Stopping Criteria
if (fabs(g1)<eps && fabs(g2)<eps)
break;
// Finding Newton direction: -inv(H') * g
det=h11*h22-h21*h21;
dA=-(h22*g1 - h21 * g2) / det;
dB=-(-h21*g1+ h11 * g2) / det;
gd=g1*dA+g2*dB;
stepsize = 1; // Line Search
while (stepsize >= min_step)
{
newA = A + stepsize * dA;
newB = B + stepsize * dB;
// New function value
newf = 0.0;
for (i=0;i<l;i++)
{
fApB = dec_values[i]*newA+newB;
if (fApB >= 0)
newf += t[i]*fApB + log(1+exp(-fApB));
else
newf += (t[i] - 1)*fApB +log(1+exp(fApB));
}
// Check sufficient decrease
if (newf<fval+0.0001*stepsize*gd)
{
A=newA;B=newB;fval=newf;
break;
}
else
stepsize = stepsize / 2.0;
}
if (stepsize < min_step)
{
info("Line search fails in two-class probability estimates\n");
break;
}
}
if (iter>=max_iter)
info("Reaching maximal iterations in two-class probability estimates\n");
free(t);
}
static double sigmoid_predict(double decision_value, double A, double B)
{
double fApB = decision_value*A+B;
// 1-p used later; avoid catastrophic cancellation
if (fApB >= 0)
return exp(-fApB)/(1.0+exp(-fApB));
else
return 1.0/(1+exp(fApB)) ;
}
// Method 2 from the multiclass_prob paper by Wu, Lin, and Weng
static void multiclass_probability(int k, double **r, double *p)
{
int t,j;
int iter = 0, max_iter=max(100,k);
double **Q=Malloc(double *,k);
double *Qp=Malloc(double,k);
double pQp, eps=0.005/k;
for (t=0;t<k;t++)
{
p[t]=1.0/k; // Valid if k = 1
Q[t]=Malloc(double,k);
Q[t][t]=0;
for (j=0;j<t;j++)
{
Q[t][t]+=r[j][t]*r[j][t];
Q[t][j]=Q[j][t];
}
for (j=t+1;j<k;j++)
{
Q[t][t]+=r[j][t]*r[j][t];
Q[t][j]=-r[j][t]*r[t][j];
}
}
for (iter=0;iter<max_iter;iter++)
{
// stopping condition, recalculate QP,pQP for numerical accuracy
pQp=0;
for (t=0;t<k;t++)
{
Qp[t]=0;
for (j=0;j<k;j++)
Qp[t]+=Q[t][j]*p[j];
pQp+=p[t]*Qp[t];
}
double max_error=0;
for (t=0;t<k;t++)
{
double error=fabs(Qp[t]-pQp);
if (error>max_error)
max_error=error;
}
if (max_error<eps) break;
for (t=0;t<k;t++)
{
double diff=(-Qp[t]+pQp)/Q[t][t];
p[t]+=diff;
pQp=(pQp+diff*(diff*Q[t][t]+2*Qp[t]))/(1+diff)/(1+diff);
for (j=0;j<k;j++)
{
Qp[j]=(Qp[j]+diff*Q[t][j])/(1+diff);
p[j]/=(1+diff);
}
}
}
if (iter>=max_iter)
info("Exceeds max_iter in multiclass_prob\n");
for(t=0;t<k;t++) free(Q[t]);
free(Q);
free(Qp);
}
// Cross-validation decision values for probability estimates
static void svm_binary_svc_probability(
const svm_problem *prob, const svm_parameter *param,
double Cp, double Cn, double& probA, double& probB)
{
int i;
int nr_fold = 5;
int *perm = Malloc(int,prob->l);
double *dec_values = Malloc(double,prob->l);
// random shuffle
for(i=0;i<prob->l;i++) perm[i]=i;
for(i=0;i<prob->l;i++)
{
int j = i+rand()%(prob->l-i);
swap(perm[i],perm[j]);
}
for(i=0;i<nr_fold;i++)
{
int begin = i*prob->l/nr_fold;
int end = (i+1)*prob->l/nr_fold;
int j,k;
struct svm_problem subprob;
subprob.l = prob->l-(end-begin);
subprob.x = Malloc(struct svm_node*,subprob.l);
subprob.y = Malloc(double,subprob.l);
k=0;
for(j=0;j<begin;j++)
{
subprob.x[k] = prob->x[perm[j]];
subprob.y[k] = prob->y[perm[j]];
++k;
}
for(j=end;j<prob->l;j++)
{
subprob.x[k] = prob->x[perm[j]];
subprob.y[k] = prob->y[perm[j]];
++k;
}
int p_count=0,n_count=0;
for(j=0;j<k;j++)
if(subprob.y[j]>0)
p_count++;
else
n_count++;
if(p_count==0 && n_count==0)
for(j=begin;j<end;j++)
dec_values[perm[j]] = 0;
else if(p_count > 0 && n_count == 0)
for(j=begin;j<end;j++)
dec_values[perm[j]] = 1;
else if(p_count == 0 && n_count > 0)
for(j=begin;j<end;j++)
dec_values[perm[j]] = -1;
else
{
svm_parameter subparam = *param;
subparam.probability=0;
subparam.C=1.0;
subparam.nr_weight=2;
subparam.weight_label = Malloc(int,2);
subparam.weight = Malloc(double,2);
subparam.weight_label[0]=+1;
subparam.weight_label[1]=-1;
subparam.weight[0]=Cp;
subparam.weight[1]=Cn;
struct svm_model *submodel = svm_train(&subprob,&subparam);
for(j=begin;j<end;j++)
{
svm_predict_values(submodel,prob->x[perm[j]],&(dec_values[perm[j]]));
// ensure +1 -1 order; reason not using CV subroutine
dec_values[perm[j]] *= submodel->label[0];
}
svm_free_and_destroy_model(&submodel);
svm_destroy_param(&subparam);
}
free(subprob.x);
free(subprob.y);
}
sigmoid_train(prob->l,dec_values,prob->y,probA,probB);
free(dec_values);
free(perm);
}
// Return parameter of a Laplace distribution
static double svm_svr_probability(
const svm_problem *prob, const svm_parameter *param)
{
int i;
int nr_fold = 5;
double *ymv = Malloc(double,prob->l);
double mae = 0;
svm_parameter newparam = *param;
newparam.probability = 0;
svm_cross_validation(prob,&newparam,nr_fold,ymv);
for(i=0;i<prob->l;i++)
{
ymv[i]=prob->y[i]-ymv[i];
mae += fabs(ymv[i]);
}
mae /= prob->l;
double std=sqrt(2*mae*mae);
int count=0;
mae=0;
for(i=0;i<prob->l;i++)
if (fabs(ymv[i]) > 5*std)
count=count+1;
else
mae+=fabs(ymv[i]);
mae /= (prob->l-count);
info("Prob. model for test data: target value = predicted value + z,\nz: Laplace distribution e^(-|z|/sigma)/(2sigma),sigma= %g\n",mae);
free(ymv);
return mae;
}
// label: label name, start: begin of each class, count: #data of classes, perm: indices to the original data
// perm, length l, must be allocated before calling this subroutine
static void svm_group_classes(const svm_problem *prob, int *nr_class_ret, int **label_ret, int **start_ret, int **count_ret, int *perm)
{
int l = prob->l;
int max_nr_class = 16;
int nr_class = 0;
int *label = Malloc(int,max_nr_class);
int *count = Malloc(int,max_nr_class);
int *data_label = Malloc(int,l);
int i;
for(i=0;i<l;i++)
{
int this_label = (int)prob->y[i];
int j;
for(j=0;j<nr_class;j++)
{
if(this_label == label[j])
{
++count[j];
break;
}
}
data_label[i] = j;
if(j == nr_class)
{
if(nr_class == max_nr_class)
{
max_nr_class *= 2;
label = (int *)realloc(label,max_nr_class*sizeof(int));
count = (int *)realloc(count,max_nr_class*sizeof(int));
}
label[nr_class] = this_label;
count[nr_class] = 1;
++nr_class;
}
}
//
// Labels are ordered by their first occurrence in the training set.
// However, for two-class sets with -1/+1 labels and -1 appears first,
// we swap labels to ensure that internally the binary SVM has positive data corresponding to the +1 instances.
//
if (nr_class == 2 && label[0] == -1 && label[1] == 1)
{
swap(label[0],label[1]);
swap(count[0],count[1]);
for(i=0;i<l;i++)
{
if(data_label[i] == 0)
data_label[i] = 1;
else
data_label[i] = 0;
}
}
int *start = Malloc(int,nr_class);
start[0] = 0;
for(i=1;i<nr_class;i++)
start[i] = start[i-1]+count[i-1];
for(i=0;i<l;i++)
{
perm[start[data_label[i]]] = i;
++start[data_label[i]];
}
start[0] = 0;
for(i=1;i<nr_class;i++)
start[i] = start[i-1]+count[i-1];
*nr_class_ret = nr_class;
*label_ret = label;
*start_ret = start;
*count_ret = count;
free(data_label);
}
//
// Interface functions
//
svm_model *svm_train(const svm_problem *prob, const svm_parameter *param)
{
svm_model *model = Malloc(svm_model,1);
model->param = *param;
model->free_sv = 0; // XXX
if(param->svm_type == ONE_CLASS ||
param->svm_type == EPSILON_SVR ||
param->svm_type == NU_SVR)
{
// regression or one-class-svm
model->nr_class = 2;
model->label = NULL;
model->nSV = NULL;
model->probA = NULL; model->probB = NULL;
model->sv_coef = Malloc(double *,1);
if(param->probability &&
(param->svm_type == EPSILON_SVR ||
param->svm_type == NU_SVR))
{
model->probA = Malloc(double,1);
model->probA[0] = svm_svr_probability(prob,param);
}
decision_function f = svm_train_one(prob,param,0,0);
model->rho = Malloc(double,1);
model->rho[0] = f.rho;
int nSV = 0;
int i;
for(i=0;i<prob->l;i++)
if(fabs(f.alpha[i]) > 0) ++nSV;
model->l = nSV;
model->SV = Malloc(svm_node *,nSV);
model->sv_coef[0] = Malloc(double,nSV);
model->sv_indices = Malloc(int,nSV);
int j = 0;
for(i=0;i<prob->l;i++)
if(fabs(f.alpha[i]) > 0)
{
model->SV[j] = prob->x[i];
model->sv_coef[0][j] = f.alpha[i];
model->sv_indices[j] = i+1;
++j;
}
free(f.alpha);
}
else
{
// classification
int l = prob->l;
int nr_class;
int *label = NULL;
int *start = NULL;
int *count = NULL;
int *perm = Malloc(int,l);
// 对于同label进行归纳
svm_group_classes(prob,&nr_class,&label,&start,&count,perm);
if(nr_class == 1)
info("WARNING: training data in only one class. See README for details.\n");
svm_node **x = Malloc(svm_node *,l);
int i;
for(i=0;i<l;i++)
x[i] = prob->x[perm[i]];
// calculate weighted C
double *weighted_C = Malloc(double, nr_class);
for(i=0;i<nr_class;i++)
weighted_C[i] = param->C;
for(i=0;i<param->nr_weight;i++)
{
int j;
for(j=0;j<nr_class;j++)
if(param->weight_label[i] == label[j])
break;
if(j == nr_class)
fprintf(stderr,"WARNING: class label %d specified in weight is not found\n", param->weight_label[i]);
else
weighted_C[j] *= param->weight[i];
}
// train k*(k-1)/2 models
bool *nonzero = Malloc(bool,l);
for(i=0;i<l;i++)
nonzero[i] = false;
decision_function *f = Malloc(decision_function,nr_class*(nr_class-1)/2);
double *probA=NULL,*probB=NULL;
if (param->probability)
{
probA=Malloc(double,nr_class*(nr_class-1)/2);
probB=Malloc(double,nr_class*(nr_class-1)/2);
}
int p = 0;
for(i=0;i<nr_class;i++)
for(int j=i+1;j<nr_class;j++)
{
svm_problem sub_prob;
int si = start[i], sj = start[j];
int ci = count[i], cj = count[j];
sub_prob.l = ci+cj;
sub_prob.x = Malloc(svm_node *,sub_prob.l);
sub_prob.y = Malloc(double,sub_prob.l);
int k;
for(k=0;k<ci;k++)
{
sub_prob.x[k] = x[si+k];
sub_prob.y[k] = +1;
}
for(k=0;k<cj;k++)
{
sub_prob.x[ci+k] = x[sj+k];
sub_prob.y[ci+k] = -1;
}
if(param->probability)
//输入参数和数据,对probA和probB进行训练并赋值
svm_binary_svc_probability(&sub_prob,param,weighted_C[i],weighted_C[j],probA[p],probB[p]);
f[p] = svm_train_one(&sub_prob,param,weighted_C[i],weighted_C[j]);
for(k=0;k<ci;k++)
if(!nonzero[si+k] && fabs(f[p].alpha[k]) > 0)
nonzero[si+k] = true;
for(k=0;k<cj;k++)
if(!nonzero[sj+k] && fabs(f[p].alpha[ci+k]) > 0)
nonzero[sj+k] = true;
free(sub_prob.x);
free(sub_prob.y);
++p;
}
// build output
model->nr_class = nr_class;
model->label = Malloc(int,nr_class);
for(i=0;i<nr_class;i++)
model->label[i] = label[i];
model->rho = Malloc(double,nr_class*(nr_class-1)/2);
for(i=0;i<nr_class*(nr_class-1)/2;i++)
model->rho[i] = f[i].rho;
if(param->probability)
{
model->probA = Malloc(double,nr_class*(nr_class-1)/2);
model->probB = Malloc(double,nr_class*(nr_class-1)/2);
for(i=0;i<nr_class*(nr_class-1)/2;i++)
{
model->probA[i] = probA[i];
model->probB[i] = probB[i];
}
}
else
{
model->probA=NULL;
model->probB=NULL;
}
int total_sv = 0;
int *nz_count = Malloc(int,nr_class);
model->nSV = Malloc(int,nr_class);
for(i=0;i<nr_class;i++)
{
int nSV = 0;
for(int j=0;j<count[i];j++)
if(nonzero[start[i]+j])
{
++nSV;
++total_sv;
}
model->nSV[i] = nSV;
nz_count[i] = nSV;
}
info("Total nSV = %d\n",total_sv);
model->l = total_sv;
model->SV = Malloc(svm_node *,total_sv);
model->sv_indices = Malloc(int,total_sv);
p = 0;
for(i=0;i<l;i++)
if(nonzero[i])
{
model->SV[p] = x[i];
model->sv_indices[p++] = perm[i] + 1;
}
int *nz_start = Malloc(int,nr_class);
nz_start[0] = 0;
for(i=1;i<nr_class;i++)
nz_start[i] = nz_start[i-1]+nz_count[i-1];
model->sv_coef = Malloc(double *,nr_class-1);
for(i=0;i<nr_class-1;i++)
model->sv_coef[i] = Malloc(double,total_sv);
p = 0;
for(i=0;i<nr_class;i++)
for(int j=i+1;j<nr_class;j++)
{
// classifier (i,j): coefficients with
// i are in sv_coef[j-1][nz_start[i]...],
// j are in sv_coef[i][nz_start[j]...]
int si = start[i];
int sj = start[j];
int ci = count[i];
int cj = count[j];
int q = nz_start[i];
int k;
for(k=0;k<ci;k++)
if(nonzero[si+k])
model->sv_coef[j-1][q++] = f[p].alpha[k];
q = nz_start[j];
for(k=0;k<cj;k++)
if(nonzero[sj+k])
model->sv_coef[i][q++] = f[p].alpha[ci+k];
++p;
}
free(label);
free(probA);
free(probB);
free(count);
free(perm);
free(start);
free(x);
free(weighted_C);
free(nonzero);
for(i=0;i<nr_class*(nr_class-1)/2;i++)
free(f[i].alpha);
free(f);
free(nz_count);
free(nz_start);
}
return model;
}
// Stratified cross validation
void svm_cross_validation(const svm_problem *prob, const svm_parameter *param, int nr_fold, double *target)
{
int i;
int *fold_start;
int l = prob->l;
int *perm = Malloc(int,l);
int nr_class;
if (nr_fold > l)
{
nr_fold = l;
fprintf(stderr,"WARNING: # folds > # data. Will use # folds = # data instead (i.e., leave-one-out cross validation)\n");
}
fold_start = Malloc(int,nr_fold+1);
// stratified cv may not give leave-one-out rate
// Each class to l folds -> some folds may have zero elements
if((param->svm_type == C_SVC ||
param->svm_type == NU_SVC) && nr_fold < l)
{
int *start = NULL;
int *label = NULL;
int *count = NULL;
svm_group_classes(prob,&nr_class,&label,&start,&count,perm);
// random shuffle and then data grouped by fold using the array perm
int *fold_count = Malloc(int,nr_fold);
int c;
int *index = Malloc(int,l);
for(i=0;i<l;i++)
index[i]=perm[i];
for (c=0; c<nr_class; c++)
for(i=0;i<count[c];i++)
{
int j = i+rand()%(count[c]-i);
swap(index[start[c]+j],index[start[c]+i]);
}
for(i=0;i<nr_fold;i++)
{
fold_count[i] = 0;
for (c=0; c<nr_class;c++)
fold_count[i]+=(i+1)*count[c]/nr_fold-i*count[c]/nr_fold;
}
fold_start[0]=0;
for (i=1;i<=nr_fold;i++)
fold_start[i] = fold_start[i-1]+fold_count[i-1];
for (c=0; c<nr_class;c++)
for(i=0;i<nr_fold;i++)
{
int begin = start[c]+i*count[c]/nr_fold;
int end = start[c]+(i+1)*count[c]/nr_fold;
for(int j=begin;j<end;j++)
{
perm[fold_start[i]] = index[j];
fold_start[i]++;
}
}
fold_start[0]=0;
for (i=1;i<=nr_fold;i++)
fold_start[i] = fold_start[i-1]+fold_count[i-1];
free(start);
free(label);
free(count);
free(index);
free(fold_count);
}
else
{
for(i=0;i<l;i++) perm[i]=i;
for(i=0;i<l;i++)
{
int j = i+rand()%(l-i);
swap(perm[i],perm[j]);
}
for(i=0;i<=nr_fold;i++)
fold_start[i]=i*l/nr_fold;
}
for(i=0;i<nr_fold;i++)
{
int begin = fold_start[i];
int end = fold_start[i+1];
int j,k;
struct svm_problem subprob;
subprob.l = l-(end-begin);
subprob.x = Malloc(struct svm_node*,subprob.l);
subprob.y = Malloc(double,subprob.l);
k=0;
for(j=0;j<begin;j++)
{
subprob.x[k] = prob->x[perm[j]];
subprob.y[k] = prob->y[perm[j]];
++k;
}
for(j=end;j<l;j++)
{
subprob.x[k] = prob->x[perm[j]];
subprob.y[k] = prob->y[perm[j]];
++k;
}
struct svm_model *submodel = svm_train(&subprob,param);
if(param->probability &&
(param->svm_type == C_SVC || param->svm_type == NU_SVC))
{
double *prob_estimates=Malloc(double,svm_get_nr_class(submodel));
for(j=begin;j<end;j++)
target[perm[j]] = svm_predict_probability(submodel,prob->x[perm[j]],prob_estimates);
free(prob_estimates);
}
else
for(j=begin;j<end;j++)
target[perm[j]] = svm_predict(submodel,prob->x[perm[j]]);
svm_free_and_destroy_model(&submodel);
free(subprob.x);
free(subprob.y);
}
free(fold_start);
free(perm);
}
int svm_get_svm_type(const svm_model *model)
{
return model->param.svm_type;
}
int svm_get_nr_class(const svm_model *model)
{
return model->nr_class;
}
void svm_get_labels(const svm_model *model, int* label)
{
if (model->label != NULL)
for(int i=0;i<model->nr_class;i++)
label[i] = model->label[i];
}
void svm_get_sv_indices(const svm_model *model, int* indices)
{
if (model->sv_indices != NULL)
for(int i=0;i<model->l;i++)
indices[i] = model->sv_indices[i];
}
int svm_get_nr_sv(const svm_model *model)
{
return model->l;
}
double svm_get_svr_probability(const svm_model *model)
{
if ((model->param.svm_type == EPSILON_SVR || model->param.svm_type == NU_SVR) &&
model->probA!=NULL)
return model->probA[0];
else
{
fprintf(stderr,"Model doesn't contain information for SVR probability inference\n");
return 0;
}
}
double svm_predict_values(const svm_model *model, const svm_node *x, double* dec_values)
{
int i;
if(model->param.svm_type == ONE_CLASS ||
model->param.svm_type == EPSILON_SVR ||
model->param.svm_type == NU_SVR)
{
double *sv_coef = model->sv_coef[0];
double sum = 0;
for(i=0;i<model->l;i++)
sum += sv_coef[i] * Kernel::k_function(x,model->SV[i],model->param);
sum -= model->rho[0];
*dec_values = sum;
if(model->param.svm_type == ONE_CLASS)
return (sum>0)?1:-1;
else
return sum;
}
else
{
int nr_class = model->nr_class;
int l = model->l;
double *kvalue = Malloc(double,l);
for(i=0;i<l;i++)
kvalue[i] = Kernel::k_function(x,model->SV[i],model->param);
int *start = Malloc(int,nr_class);
start[0] = 0;
for(i=1;i<nr_class;i++)
start[i] = start[i-1]+model->nSV[i-1];
int *vote = Malloc(int,nr_class);
for(i=0;i<nr_class;i++)
vote[i] = 0;
int p=0;
for(i=0;i<nr_class;i++)
for(int j=i+1;j<nr_class;j++)
{
double sum = 0;
int si = start[i];
int sj = start[j];
int ci = model->nSV[i];
int cj = model->nSV[j];
int k;
double *coef1 = model->sv_coef[j-1];
double *coef2 = model->sv_coef[i];
for(k=0;k<ci;k++)
sum += coef1[si+k] * kvalue[si+k];
for(k=0;k<cj;k++)
sum += coef2[sj+k] * kvalue[sj+k];
sum -= model->rho[p];
dec_values[p] = sum;
if(dec_values[p] > 0)
++vote[i];
else
++vote[j];
p++;
}
int vote_max_idx = 0;
for(i=1;i<nr_class;i++)
if(vote[i] > vote[vote_max_idx])
vote_max_idx = i;
free(kvalue);
free(start);
free(vote);
return model->label[vote_max_idx];
}
}
double svm_predict(const svm_model *model, const svm_node *x)
{
int nr_class = model->nr_class;
double *dec_values;
if(model->param.svm_type == ONE_CLASS ||
model->param.svm_type == EPSILON_SVR ||
model->param.svm_type == NU_SVR)
dec_values = Malloc(double, 1);
else
dec_values = Malloc(double, nr_class*(nr_class-1)/2);
double pred_result = svm_predict_values(model, x, dec_values);
free(dec_values);
return pred_result;
}
double svm_predict_probability(
const svm_model *model, const svm_node *x, double *prob_estimates)
{
if ((model->param.svm_type == C_SVC || model->param.svm_type == NU_SVC) &&
model->probA!=NULL && model->probB!=NULL)
{
int i;
int nr_class = model->nr_class;
double *dec_values = Malloc(double, nr_class*(nr_class-1)/2);
svm_predict_values(model, x, dec_values);
double min_prob=1e-7;
double **pairwise_prob=Malloc(double *,nr_class);
for(i=0;i<nr_class;i++)
pairwise_prob[i]=Malloc(double,nr_class);
int k=0;
for(i=0;i<nr_class;i++)
for(int j=i+1;j<nr_class;j++)
{
pairwise_prob[i][j]=min(max(sigmoid_predict(dec_values[k],model->probA[k],model->probB[k]),min_prob),1-min_prob);
pairwise_prob[j][i]=1-pairwise_prob[i][j];
k++;
}
if (nr_class == 2)
{
prob_estimates[0] = pairwise_prob[0][1];
prob_estimates[1] = pairwise_prob[1][0];
}
else
multiclass_probability(nr_class,pairwise_prob,prob_estimates);
int prob_max_idx = 0;
for(i=1;i<nr_class;i++)
if(prob_estimates[i] > prob_estimates[prob_max_idx])
prob_max_idx = i;
for(i=0;i<nr_class;i++)
free(pairwise_prob[i]);
free(dec_values);
free(pairwise_prob);
return model->label[prob_max_idx];
}
else
return svm_predict(model, x);
}
static const char *svm_type_table[] =
{
"c_svc","nu_svc","one_class","epsilon_svr","nu_svr",NULL
};
static const char *kernel_type_table[]=
{
"linear","polynomial","rbf","sigmoid","precomputed",NULL
};
int svm_save_model(const char *model_file_name, const svm_model *model)
{
FILE *fp = fopen(model_file_name,"w");
if(fp==NULL) return -1;
char *old_locale = setlocale(LC_ALL, NULL);
if (old_locale) {
old_locale = _strdup(old_locale);
}
setlocale(LC_ALL, "C");
const svm_parameter& param = model->param;
fprintf(fp,"svm_type %s\n", svm_type_table[param.svm_type]);
fprintf(fp,"kernel_type %s\n", kernel_type_table[param.kernel_type]);
if(param.kernel_type == POLY)
fprintf(fp,"degree %d\n", param.degree);
if(param.kernel_type == POLY || param.kernel_type == RBF || param.kernel_type == SIGMOID)
fprintf(fp,"gamma %.17g\n", param.gamma);
if(param.kernel_type == POLY || param.kernel_type == SIGMOID)
fprintf(fp,"coef0 %.17g\n", param.coef0);
int nr_class = model->nr_class;
int l = model->l;
fprintf(fp, "nr_class %d\n", nr_class);
fprintf(fp, "total_sv %d\n",l);
{
fprintf(fp, "rho");
for(int i=0;i<nr_class*(nr_class-1)/2;i++)
fprintf(fp," %.17g",model->rho[i]);
fprintf(fp, "\n");
}
if(model->label)
{
fprintf(fp, "label");
for(int i=0;i<nr_class;i++)
fprintf(fp," %d",model->label[i]);
fprintf(fp, "\n");
}
if(model->probA) // regression has probA only
{
fprintf(fp, "probA");
for(int i=0;i<nr_class*(nr_class-1)/2;i++)
fprintf(fp," %.17g",model->probA[i]);
fprintf(fp, "\n");
}
if(model->probB)
{
fprintf(fp, "probB");
for(int i=0;i<nr_class*(nr_class-1)/2;i++)
fprintf(fp," %.17g",model->probB[i]);
fprintf(fp, "\n");
}
if(model->nSV)
{
fprintf(fp, "nr_sv");
for(int i=0;i<nr_class;i++)
fprintf(fp," %d",model->nSV[i]);
fprintf(fp, "\n");
}
fprintf(fp, "SV\n");
const double * const *sv_coef = model->sv_coef;
const svm_node * const *SV = model->SV;
for(int i=0;i<l;i++)
{
for(int j=0;j<nr_class-1;j++)
fprintf(fp, "%.17g ",sv_coef[j][i]);
const svm_node *p = SV[i];
if(param.kernel_type == PRECOMPUTED)
fprintf(fp,"0:%d ",(int)(p->value));
else
while(p->index != -1)
{
fprintf(fp,"%d:%.8g ",p->index,p->value);
p++;
}
fprintf(fp, "\n");
}
setlocale(LC_ALL, old_locale);
free(old_locale);
if (ferror(fp) != 0 || fclose(fp) != 0) return -1;
else return 0;
}
static char *line = NULL;
static int max_line_len;
static char* readline(FILE *input)
{
int len;
if(fgets(line,max_line_len,input) == NULL)
return NULL;
while(strrchr(line,'\n') == NULL)
{
max_line_len *= 2;
line = (char *) realloc(line,max_line_len);
len = (int) strlen(line);
if(fgets(line+len,max_line_len-len,input) == NULL)
break;
}
return line;
}
//
// FSCANF helps to handle fscanf failures.
// Its do-while block avoids the ambiguity when
// if (...)
// FSCANF();
// is used
//
#define FSCANF(_stream, _format, _var) do{ if (fscanf(_stream, _format, _var) != 1) return false; }while(0)
bool read_model_header(FILE *fp, svm_model* model)
{
svm_parameter& param = model->param;
// parameters for training only won't be assigned, but arrays are assigned as NULL for safety
param.nr_weight = 0;
param.weight_label = NULL;
param.weight = NULL;
char cmd[81];
while(1)
{
FSCANF(fp,"%80s",cmd);
if(strcmp(cmd,"svm_type")==0)
{
FSCANF(fp,"%80s",cmd);
int i;
for(i=0;svm_type_table[i];i++)
{
if(strcmp(svm_type_table[i],cmd)==0)
{
param.svm_type=i;
break;
}
}
if(svm_type_table[i] == NULL)
{
fprintf(stderr,"unknown svm type.\n");
return false;
}
}
else if(strcmp(cmd,"kernel_type")==0)
{
FSCANF(fp,"%80s",cmd);
int i;
for(i=0;kernel_type_table[i];i++)
{
if(strcmp(kernel_type_table[i],cmd)==0)
{
param.kernel_type=i;
break;
}
}
if(kernel_type_table[i] == NULL)
{
fprintf(stderr,"unknown kernel function.\n");
return false;
}
}
else if(strcmp(cmd,"degree")==0)
FSCANF(fp,"%d",¶m.degree);
else if(strcmp(cmd,"gamma")==0)
FSCANF(fp,"%lf",¶m.gamma);
else if(strcmp(cmd,"coef0")==0)
FSCANF(fp,"%lf",¶m.coef0);
else if(strcmp(cmd,"nr_class")==0)
FSCANF(fp,"%d",&model->nr_class);
else if(strcmp(cmd,"total_sv")==0)
FSCANF(fp,"%d",&model->l);
else if(strcmp(cmd,"rho")==0)
{
int n = model->nr_class * (model->nr_class-1)/2;
model->rho = Malloc(double,n);
for(int i=0;i<n;i++)
FSCANF(fp,"%lf",&model->rho[i]);
}
else if(strcmp(cmd,"label")==0)
{
int n = model->nr_class;
model->label = Malloc(int,n);
for(int i=0;i<n;i++)
FSCANF(fp,"%d",&model->label[i]);
}
else if(strcmp(cmd,"probA")==0)
{
int n = model->nr_class * (model->nr_class-1)/2;
model->probA = Malloc(double,n);
for(int i=0;i<n;i++)
FSCANF(fp,"%lf",&model->probA[i]);
}
else if(strcmp(cmd,"probB")==0)
{
int n = model->nr_class * (model->nr_class-1)/2;
model->probB = Malloc(double,n);
for(int i=0;i<n;i++)
FSCANF(fp,"%lf",&model->probB[i]);
}
else if(strcmp(cmd,"nr_sv")==0)
{
int n = model->nr_class;
model->nSV = Malloc(int,n);
for(int i=0;i<n;i++)
FSCANF(fp,"%d",&model->nSV[i]);
}
else if(strcmp(cmd,"SV")==0)
{
while(1)
{
int c = getc(fp);
if(c==EOF || c=='\n') break;
}
break;
}
else
{
fprintf(stderr,"unknown text in model file: [%s]\n",cmd);
return false;
}
}
return true;
}
svm_model *svm_load_model(const char *model_file_name)
{
FILE *fp = fopen(model_file_name,"rb");
if(fp==NULL) return NULL;
char *old_locale = setlocale(LC_ALL, NULL);
if (old_locale) {
old_locale = _strdup(old_locale);
}
setlocale(LC_ALL, "C");
// read parameters
svm_model *model = Malloc(svm_model,1);
model->rho = NULL;
model->probA = NULL;
model->probB = NULL;
model->sv_indices = NULL;
model->label = NULL;
model->nSV = NULL;
// read header
if (!read_model_header(fp, model))
{
fprintf(stderr, "ERROR: fscanf failed to read model\n");
setlocale(LC_ALL, old_locale);
free(old_locale);
free(model->rho);
free(model->label);
free(model->nSV);
free(model);
return NULL;
}
// read sv_coef and SV
int elements = 0;
long pos = ftell(fp);
max_line_len = 1024;
line = Malloc(char,max_line_len);
char *p,*endptr,*idx,*val;
while(readline(fp)!=NULL)
{
p = strtok(line,":");
while(1)
{
p = strtok(NULL,":");
if(p == NULL)
break;
++elements;
}
}
elements += model->l;
fseek(fp,pos,SEEK_SET);
int m = model->nr_class - 1;
int l = model->l;
model->sv_coef = Malloc(double *,m);
int i;
for(i=0;i<m;i++)
model->sv_coef[i] = Malloc(double,l);
model->SV = Malloc(svm_node*,l);
svm_node *x_space = NULL;
if(l>0) x_space = Malloc(svm_node,elements);
int j=0;
for(i=0;i<l;i++)
{
readline(fp);
model->SV[i] = &x_space[j];
p = strtok(line, " \t");
model->sv_coef[0][i] = strtod(p,&endptr);
for(int k=1;k<m;k++)
{
p = strtok(NULL, " \t");
model->sv_coef[k][i] = strtod(p,&endptr);
}
while(1)
{
idx = strtok(NULL, ":");
val = strtok(NULL, " \t");
if(val == NULL)
break;
x_space[j].index = (int) strtol(idx,&endptr,10);
x_space[j].value = strtod(val,&endptr);
++j;
}
x_space[j++].index = -1;
}
free(line);
setlocale(LC_ALL, old_locale);
free(old_locale);
if (ferror(fp) != 0 || fclose(fp) != 0)
return NULL;
model->free_sv = 1; // XXX
return model;
}
void svm_free_model_content(svm_model* model_ptr)
{
if(model_ptr->free_sv && model_ptr->l > 0 && model_ptr->SV != NULL)
free((void *)(model_ptr->SV[0]));
if(model_ptr->sv_coef)
{
for(int i=0;i<model_ptr->nr_class-1;i++)
free(model_ptr->sv_coef[i]);
}
free(model_ptr->SV);
model_ptr->SV = NULL;
free(model_ptr->sv_coef);
model_ptr->sv_coef = NULL;
free(model_ptr->rho);
model_ptr->rho = NULL;
free(model_ptr->label);
model_ptr->label= NULL;
free(model_ptr->probA);
model_ptr->probA = NULL;
free(model_ptr->probB);
model_ptr->probB= NULL;
free(model_ptr->sv_indices);
model_ptr->sv_indices = NULL;
free(model_ptr->nSV);
model_ptr->nSV = NULL;
}
void svm_free_and_destroy_model(svm_model** model_ptr_ptr)
{
if(model_ptr_ptr != NULL && *model_ptr_ptr != NULL)
{
svm_free_model_content(*model_ptr_ptr);
free(*model_ptr_ptr);
*model_ptr_ptr = NULL;
}
}
void svm_destroy_param(svm_parameter* param)
{
free(param->weight_label);
free(param->weight);
}
const char *svm_check_parameter(const svm_problem *prob, const svm_parameter *param)
{
// svm_type
int svm_type = param->svm_type;
if(svm_type != C_SVC &&
svm_type != NU_SVC &&
svm_type != ONE_CLASS &&
svm_type != EPSILON_SVR &&
svm_type != NU_SVR)
return "unknown svm type";
// kernel_type, degree
int kernel_type = param->kernel_type;
if(kernel_type != LINEAR &&
kernel_type != POLY &&
kernel_type != RBF &&
kernel_type != SIGMOID &&
kernel_type != PRECOMPUTED)
return "unknown kernel type";
if(param->gamma < 0)
return "gamma < 0";
if(param->degree < 0)
return "degree of polynomial kernel < 0";
// cache_size,eps,C,nu,p,shrinking
if(param->cache_size <= 0)
return "cache_size <= 0";
if(param->eps <= 0)
return "eps <= 0";
if(svm_type == C_SVC ||
svm_type == EPSILON_SVR ||
svm_type == NU_SVR)
if(param->C <= 0)
return "C <= 0";
if(svm_type == NU_SVC ||
svm_type == ONE_CLASS ||
svm_type == NU_SVR)
if(param->nu <= 0 || param->nu > 1)
return "nu <= 0 or nu > 1";
if(svm_type == EPSILON_SVR)
if(param->p < 0)
return "p < 0";
if(param->shrinking != 0 &&
param->shrinking != 1)
return "shrinking != 0 and shrinking != 1";
if(param->probability != 0 &&
param->probability != 1)
return "probability != 0 and probability != 1";
if(param->probability == 1 &&
svm_type == ONE_CLASS)
return "one-class SVM probability output not supported yet";
// check whether nu-svc is feasible
if(svm_type == NU_SVC)
{
int l = prob->l;
int max_nr_class = 16;
int nr_class = 0;
int *label = Malloc(int,max_nr_class);
int *count = Malloc(int,max_nr_class);
int i;
for(i=0;i<l;i++)
{
int this_label = (int)prob->y[i];
int j;
for(j=0;j<nr_class;j++)
if(this_label == label[j])
{
++count[j];
break;
}
if(j == nr_class)
{
if(nr_class == max_nr_class)
{
max_nr_class *= 2;
label = (int *)realloc(label,max_nr_class*sizeof(int));
count = (int *)realloc(count,max_nr_class*sizeof(int));
}
label[nr_class] = this_label;
count[nr_class] = 1;
++nr_class;
}
}
for(i=0;i<nr_class;i++)
{
int n1 = count[i];
for(int j=i+1;j<nr_class;j++)
{
int n2 = count[j];
if(param->nu*(n1+n2)/2 > min(n1,n2))
{
free(label);
free(count);
return "specified nu is infeasible";
}
}
}
free(label);
free(count);
}
return NULL;
}
int svm_check_probability_model(const svm_model *model)
{
return ((model->param.svm_type == C_SVC || model->param.svm_type == NU_SVC) &&
model->probA!=NULL && model->probB!=NULL) ||
((model->param.svm_type == EPSILON_SVR || model->param.svm_type == NU_SVR) &&
model->probA!=NULL);
}
void svm_set_print_string_function(void (*print_func)(const char *))
{
if(print_func == NULL)
svm_print_string = &print_string_stdout;
else
svm_print_string = print_func;
}
#ifndef _LIBSVM_H
#define _LIBSVM_H
#define LIBSVM_VERSION 323
#ifdef __cplusplus
extern "C" {
#endif
extern int libsvm_version;
struct svm_node //特征节点
{
int index; //特征序号
double value; //特征值
};
struct svm_problem
{
int l; //样本个数
double *y; //类别
struct svm_node **x; //一条样本的特征
};
enum { C_SVC, NU_SVC, ONE_CLASS, EPSILON_SVR, NU_SVR }; /* svm_type */
enum { LINEAR, POLY, RBF, SIGMOID, PRECOMPUTED }; /* kernel_type */
struct svm_parameter
{
int svm_type;
int kernel_type;
int degree; /* for poly */
double gamma; /* for poly/rbf/sigmoid */
double coef0; /* for poly/sigmoid */
/* these are for training only */
double cache_size; /* in MB */
double eps; /* stopping criteria */
double C; /* for C_SVC, EPSILON_SVR and NU_SVR */
int nr_weight; /* for C_SVC */
int *weight_label; /* for C_SVC */
double* weight; /* for C_SVC */
double nu; /* for NU_SVC, ONE_CLASS, and NU_SVR */
double p; /* for EPSILON_SVR */
int shrinking; /* use the shrinking heuristics */
int probability; /* do probability estimates */
};
//
// svm_model
//
struct svm_model
{
struct svm_parameter param; /* parameter */
int nr_class; /* number of classes, = 2 in regression/one class svm */
int l; /* total #SV */
struct svm_node **SV; /* 保存支持向量的指针 */
double **sv_coef; /* coefficients for SVs in decision functions (sv_coef[k-1][l]) */
double *rho; /* constants in decision functions (rho[k*(k-1)/2]) */
double *probA; /* pariwise probability information */
double *probB;
int *sv_indices; /* sv_indices[0,...,nSV-1] are values in [1,...,num_traning_data] to indicate SVs in the training set */
/* for classification only */
int *label; /* label of each class (label[k]) */
int *nSV; /* number of SVs for each class (nSV[k]) */
/* nSV[0] + nSV[1] + ... + nSV[k-1] = l */
/* XXX */
int free_sv; /* 1 if svm_model is created by svm_load_model*/
/* 0 if svm_model is created by svm_train */
};
struct svm_model *svm_train(const struct svm_problem *prob, const struct svm_parameter *param);
void svm_cross_validation(const struct svm_problem *prob, const struct svm_parameter *param, int nr_fold, double *target);
int svm_save_model(const char *model_file_name, const struct svm_model *model);
struct svm_model *svm_load_model(const char *model_file_name);
int svm_get_svm_type(const struct svm_model *model);
int svm_get_nr_class(const struct svm_model *model);
void svm_get_labels(const struct svm_model *model, int *label);
void svm_get_sv_indices(const struct svm_model *model, int *sv_indices);
int svm_get_nr_sv(const struct svm_model *model);
double svm_get_svr_probability(const struct svm_model *model);
double svm_predict_values(const struct svm_model *model, const struct svm_node *x, double* dec_values);
double svm_predict(const struct svm_model *model, const struct svm_node *x);
double svm_predict_probability(const struct svm_model *model, const struct svm_node *x, double* prob_estimates);
void svm_free_model_content(struct svm_model *model_ptr);
void svm_free_and_destroy_model(struct svm_model **model_ptr_ptr);
void svm_destroy_param(struct svm_parameter *param);
const char *svm_check_parameter(const struct svm_problem *prob, const struct svm_parameter *param);
int svm_check_probability_model(const struct svm_model *model);
void svm_set_print_string_function(void (*print_func)(const char *));
#ifdef __cplusplus
}
#endif
#endif /* _LIBSVM_H */
来源:CSDN
作者:牛奶还是纯的好
链接:https://blog.csdn.net/Colin_xuan/article/details/104015862