1.相关概念
生成模型:在概率统计理论中, 生成模型是指能够随机生成观测数据的模型,尤其是在给定某些隐含参数的条件下。它给观测值和标注数据序列指定一个联合概率分布。在机器学习中,生成模型可以用来直接对数据建模(例如根据某个变量的概率密度函数进行数据采样),也可以用来建立变量间的条件概率分布。条件概率分布可以由生成模型根据贝叶斯定理形成。常见的基于生成模型算法有高斯混合模型和其他混合模型、隐马尔可夫模型、随机上下文无关文法、朴素贝叶斯分类器、AODE分类器、潜在狄利克雷分配模型、受限玻尔兹曼机
举例:要确定一个瓜是好瓜还是坏瓜,用判别模型的方法是从历史数据中学习到模型,然后通过提取这个瓜的特征来预测出这只瓜是好瓜的概率,是坏瓜的概率。
判别模型: 在机器学习领域判别模型是一种对未知数据 y 与已知数据 x 之间关系进行建模的方法。判别模型是一种基于概率理论的方法。已知输入变量 x ,判别模型通过构建条件概率分布 P(y|x) 预测 y 。常见的基于判别模型算法有逻辑回归、线性回归、支持向量机、提升方法、条件随机场、人工神经网络、随机森林、感知器
举例:利用生成模型是根据好瓜的特征首先学习出一个好瓜的模型,然后根据坏瓜的特征学习得到一个坏瓜的模型,然后从需要预测的瓜中提取特征,放到生成好的好瓜的模型中看概率是多少,在放到生产的坏瓜模型中看概率是多少,哪个概率大就预测其为哪个。
生成模型是所有变量的全概率模型,而判别模型是在给定观测变量值前提下目标变量条件概率模型。因此生成模型能够用于模拟(即生成)模型中任意变量的分布情况,而判别模型只能根据观测变量得到目标变量的采样。判别模型不对观测变量的分布建模,因此它不能够表达观测变量与目标变量之间更复杂的关系。因此,生成模型更适用于无监督的任务,如分类和聚类。
2.先验概率、条件概率
条件概率: 就是事件A在事件B发生的条件下发生的概率。条件概率表示为P(A|B),读作“A在B发生的条件下发生的概率”。
先验概率: 在贝叶斯统计中,某一不确定量 p 的先验概率分布是在考虑"观测数据"前,能表达 p 不确定性的概率分布。它旨在描述这个不确定量的不确定程度,而不是这个不确定量的随机性。这个不确定量可以是一个参数,或者是一个隐含变量。
后验概率: 在贝叶斯统计中,一个随机事件或者一个不确定事件的后验概率是在考虑和给出相关证据或数据后所得到的条件概率。同样,后验概率分布是一个未知量(视为随机变量)基于试验和调查后得到的概率分布。“后验”在本文中代表考虑了被测试事件的相关证据。
3.贝叶斯公式
对生成模型来说,必然考虑:
P(c|x)=P(x,c)/P(x)=P©P(x|c)*P(c|x)/P(x),其中P©是“先验概率”;
P(x|c)是样本x对于类标记c的类条件概率,或称为“似然”;P(x)是用于归一化的“证据”因子。上式即为贝叶斯公式。
可以将其看做P(类别|特征)=P(特征,类别)P(特征)=P(类别)P(特征|类别)P(特征)P(类别|特征)=P(特征,类别)P(特征)=P(类别)P(特征|类别)P(特征)
4.朴素贝叶斯分类器
基于贝叶斯公式来估计后验概率P(c|x)主要困难在于类条件概率P(x|c)是所有属性上的联合概率,难以从有限的训练样本直接估计而得。
基于有限训练样本直接计算联合概率,在计算上将会遭遇组合爆炸问题;在数据上将会遭遇样本稀疏问题;属性越多,问题越严重。
为了避开这个障碍,朴素贝叶斯分类器采用了“属性条件独立性假设”“属性条件独立性假设”:对已知类别,假设所有属性相互独立。换言之,假设每个属性独立的对分类结果发生影响相互独立。
回答西瓜的例子就可以认为{色泽 根蒂 敲声 纹理 脐部 触感}这些属性对西瓜是好还是坏的结果所产生的影响相互独立。
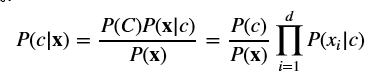
基于条件独立性假设,对于多个属性的后验概率可以写成:
d为属性数目,xixi是x在第i个属性上取值。
对于所有的类别来说P(x)相同,基于极大似然的贝叶斯判定准则有朴素贝叶斯的表达式:
5.代码实现



来源:CSDN
作者:荒原之感
链接:https://blog.csdn.net/ahjghjv/article/details/104038360