Machine Learning Andrew Ng -7. Regularization

折月煮酒 提交于 2020-01-20 20:48:09

7.1 The problem of over-fitting

What is overfitting problem?

在这里插入图片描述

generalize 泛化 :一个假设模型应用到新样本的能力

在这里插入图片描述

如何解决过度拟合?

在这里插入图片描述

在这里插入图片描述

7.2 Cost function

在这里插入图片描述
在这里插入图片描述

一般只对θ1,θ2,...,θn\theta_1,\theta_2,...,\theta_{n}进行正则化

在这里插入图片描述

缩小参数θ\theta

如果正则化参数λ\lambda选的过大,则会出现下图所示欠拟合的情况

在这里插入图片描述

如何选择正则化参数?

应用到 linear regression and logistic regression?

7.3 Regularized linear regression

在这里插入图片描述
在这里插入图片描述
在这里插入图片描述
在这里插入图片描述

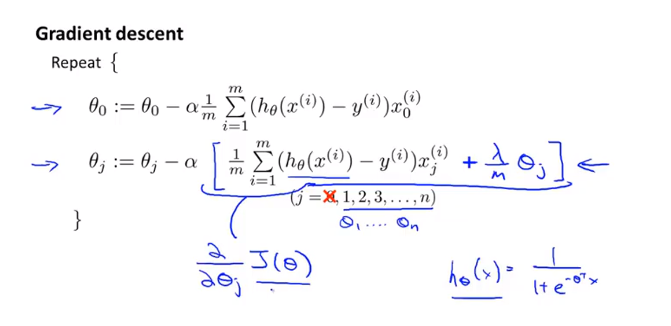
7.4 Regularized logistic regression

如何改进梯度下降和其他高效算法使其应用到正则化逻辑回归中?

在这里插入图片描述
在这里插入图片描述
其中,逻辑回归的梯度下降法的迭代方式与线性回归看似相同,但实际上二者的hθ(x)h_\theta(x) 不同,因此是两种完全不同的方法。

在这里插入图片描述

老师说,学到这里,你已经比很多硅谷工程师强了(信了老师的鬼话哦つ﹏⊂

易学教程内所有资源均来自网络或用户发布的内容,如有违反法律规定的内容欢迎反馈
该文章没有解决你所遇到的问题?点击提问,说说你的问题,让更多的人一起探讨吧!