一、引言
前面的文章介绍了很多分类算法,分类的目标变量是标称型数据,而本节将会对连续型的数据做出预测。主要讲解简单的线性回归和局部加权线性回归。
二、什么是回归?
回归的目的是预测数值型的目标值。他和我们之前做的分类是不一样的。最直接的办法是依据输入写出一个目标值的计算公式。假如你想预测小姐姐男友法拉利汽车的功率,可能会这么计算:
HorsePower = 0.0015 * annualSalary - 0.99 * hoursListeningToPublicRadio
写成中文就是:
小姐姐男友法拉利汽车的功率 = 0.0015 * 小姐姐男友年薪 - 0.99 * 收听公共广播的时间
这就是所谓的回归方程(regression equation),其中的0.0015和-0.99称为回归系数(regression weights),求这些回归系数的过程就是回归。一旦有了这些回归系数,再给定输入,做预测就非常容易了。具体的做法是用回归系数乘以输入值,再将结果全部加在一起,就得到了预测值。
说到回归,一般都是指线性回归(linear regression),所以本文里的回归和线性回归代表同一个意思。线性回归意味着可以将输入项分别乘以一些常量,再将结果加起来得到输出。需要说明的是,存在另一种成为非线性回归的回归模型,该模型不认同上面的做法,比如认为输出可能是输入的乘积。这样,上面的功率计算公式也可以写做:
HorsePower = 0.0015 * annualSalary / hoursListeningToPublicRadio
这就是一个非线性回归的例子,这里对此不做深入讨论。
三、揭开回归神奇的面纱~
1、用线性回归找到最佳拟合直线
应该怎么从一大堆数据里求出回归方程呢?假定输入数据存放在矩阵X中,结果存放在向量y中:

而回归系数存放在向量w中:

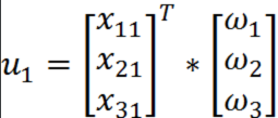
那么对于给定的数据x1,即矩阵X的第一列数据,预测结果u1将会通过如下公式给出:

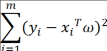
现在的问题是,手里有数据矩阵X和对应的标签向量y,怎么才能找到w呢?一个常用的方法就是找出使误差最小的w。这里的误差是指预测u值和真实y值之间的差值,使用该误差的简单累加将使得正差值和负差值相互抵消,所以我们采用平方误差。
平方误差和可以写做:

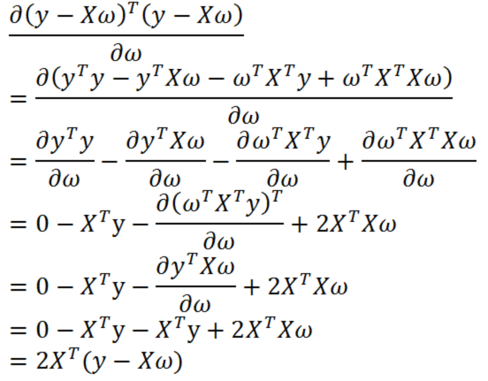
用矩阵表示还可以写做:
![]()
为啥能这么变化,记住一个前提:若x为向量,则默认x为列向量,x^T为行向量。将上述提到的数据矩阵X和标签向量y带进去,就知道为何这么变化了。
在继续推导之前,我们要先明确一个目的:找到w,使平方误差和最小。因为我们认为平方误差和越小,说明线性回归拟合效果越好。
现在,我们用矩阵表示的平方误差和对w进行求导:

如果对于矩阵求不熟悉的,可以移步这里:点击查看
令上述公式等于0,得到:
![]()
w上方的小标记表示,这是当前可以估计出的w的最优解。从现有数据上估计出的w可能并不是数据中的真实w值,所以这里使用了一个"帽"符号来表示它仅是w的一个最佳估计。
值得注意的是,上述公式中包含逆矩阵,也就是说,这个方程只在逆矩阵存在的时候使用,也即是这个矩阵是一个方阵,并且其行列式不为0。
述的最佳w求解是统计学中的常见问题,除了矩阵方法外还有很多其他方法可以解决。通过调用NumPy库里的矩阵方法,我们可以仅使用几行代码就完成所需功能。该方法也称作OLS, 意思是“普通小二乘法”(ordinary least squares)。
数据格式为:
x0 x1 y
1.000000 0.067732 3.176513
1.000000 0.427810 3.816464
1.000000 0.995731 4.550095
1.000000 0.738336 4.256571
数据下载地址:数据集下载
第一列都为1.0,即x0。第二列为x1,即x轴数据。第三列为x2,即y轴数据。首先绘制下数据,看下数据分布。创建regression.py文件,编写代码如下:
#!/usr/bin/env python
# -*- encoding: utf-8 -*-
import numpy as np
import matplotlib.pyplot as plt
'''
@description: 加载数据
@param: fileName - 文件名
@return: xArr - x数据集
yArr - y数据集
'''
def loadDataSet(fileName):
numFeat = len(open(fileName).readline().split('\t')) - 1
xArr = []; yArr = []
fr = open(fileName)
for line in fr.readlines():
lineArr =[]
curLine = line.strip().split('\t')
for i in range(numFeat):
lineArr.append(float(curLine[i]))
xArr.append(lineArr)
yArr.append(float(curLine[-1]))
return xArr, yArr
'''
@description: 绘制数据集
@param: None
@return: None
'''
def plotDataSet():
xArr, yArr = loadDataSet('C:/Users/Administrator/Desktop/blog/github/AILearners/data/ml/jqxxsz/8.Regression/ex0.txt') #加载数据集
n = len(xArr) #数据个数
xcord = []; ycord = [] #样本点
for i in range(n):
xcord.append(xArr[i][1]); ycord.append(yArr[i]) #样本点
fig = plt.figure()
ax = fig.add_subplot(111) #添加subplot
ax.scatter(xcord, ycord, s = 20, c = 'blue',alpha = .5) #绘制样本点
plt.title('DataSet') #绘制title
plt.xlabel('X')
plt.show()
if __name__ == "__main__":
plotDataSet()
运行代码如下:

通过可视化数据,我们可以看到数据的分布情况。接下来,让我们根据上文中推导的回归系数计算方法,求出回归系数向量,并根据回归系数向量绘制回归曲线,编写代码如下:
'''
@description: 计算回归系数w
@param: xArr - x数据集
yArr - y数据集
@return: ws - 回归系数
'''
def standRegres(xArr,yArr):
xMat = np.mat(xArr); yMat = np.mat(yArr).T
#根据文中推导的公示计算回归系数
xTx = xMat.T * xMat
if np.linalg.det(xTx) == 0.0:
print("矩阵为奇异矩阵,不能求逆").decode('utf-8').encoding('gb2312')
return
ws = xTx.I * (xMat.T*yMat)
return ws
def plotRegression():
xArr, yArr = loadDataSet('C:/Users/Administrator/Desktop/blog/github/AILearners/data/ml/jqxxsz/8.Regression/ex0.txt') #加载数据集
ws = standRegres(xArr, yArr) #计算回归系数
xMat = np.mat(xArr) #创建xMat矩阵
yMat = np.mat(yArr) #创建yMat矩阵
xCopy = xMat.copy() #深拷贝xMat矩阵
xCopy.sort(0) #排序
yHat = xCopy * ws #计算对应的y值
fig = plt.figure()
ax = fig.add_subplot(111) #添加subplot
ax.plot(xCopy[:, 1], yHat, c = 'red') #绘制回归曲线
ax.scatter(xMat[:,1].flatten().A[0], yMat.flatten().A[0], s = 20, c = 'blue',alpha = .5) #绘制样本点
plt.title('DataSet') #绘制title
plt.xlabel('X')
plt.show()
if __name__ == "__main__":
plotRegression()
运行代码如下:

如何判断拟合曲线的拟合效果的如何呢?当然,我们可以根据自己的经验进行观察,除此之外,我们还可以使用corrcoef方法,来比较预测值和真实值的相关性。编写代码如下:
if __name__ == "__main__":
xArr, yArr = loadDataSet('C:/Users/Administrator/Desktop/blog/github/AILearners/data/ml/jqxxsz/8.Regression/ex0.txt')
ws = standRegres(xArr, yArr) #计算回归系数
xMat = np.mat(xArr) #创建xMat矩阵
yMat = np.mat(yArr) #创建yMat矩阵
yHat = xMat * ws
print(np.corrcoef(yHat.T, yMat))
运行结果如下:

可以看到,对角线上的数据是1.0,因为yMat和自己的匹配是完美的,而YHat和yMat的相关系数为0.98。
最佳拟合直线方法将数据视为直线进行建模,具有十分不错的表现。数据当中似乎还存在其他的潜在模式。那么如何才能利用这些模式呢?我们可以根据数据来局部调整预测,下面就会介绍这种方法。
2、局部加权线性回归
线性回归的一个问题是有可能出现欠拟合现象,因为它求的是具有小均方误差的无偏估计。而易见,如果模型欠拟合将不能取得好的预测效果。所以有些方法允许在估计中引入一 些偏差,从而降低预测的均方误差。
其中的一个方法是局部加权线性回归(Locally Weighted Linear Regression,LWLR)。在该方法中,我们给待预测点附近的每个点赋予一定的权重。与kNN一样,这种算法每次预测均需要事先选取出对应的数据子集。该算法解除回归系数W的形式如下:
![]()
其中W是一个矩阵,这个公式跟我们上面推导的公式的区别就在于W,它用来给每个点赋予权重。
LWLR使用"核"(与支持向量机中的核类似)来对附近的点赋予更高的权重。核的类型可以自由选择,最常用的核就是高斯核,高斯核对应的权重如下:

这样我们就可以根据上述公式,编写局部加权线性回归,我们通过改变k的值,可以调节回归效果,编写代码如下:
'''
@description:使用局部加权线性回归计算回归系数w
@param: testPoint - 测试样本点
xArr - x数据集
yArr - y数据集
k - 高斯核的k,自定义参数
@return: ws - 回归系数
'''
def lwlr(testPoint, xArr, yArr, k = 1.0):
xMat = np.mat(xArr); yMat = np.mat(yArr).T
m = np.shape(xMat)[0]
weights = np.mat(np.eye((m))) #创建权重对角矩阵
for j in range(m): #遍历数据集计算每个样本的权重
diffMat = testPoint - xMat[j, :]
weights[j, j] = np.exp(diffMat * diffMat.T/(-2.0 * k**2))
xTx = xMat.T * (weights * xMat)
if np.linalg.det(xTx) == 0.0:
print("矩阵为奇异矩阵,不能求逆").encode('utf-8').decode('gb2312')
return
ws = xTx.I * (xMat.T * (weights * yMat)) #计算回归系数
return testPoint * ws
'''
@description: 局部加权线性回归测试
@param: testArr - 测试数据集
xArr - x数据集
yArr - y数据集
k - 高斯核的k,自定义参数
@return: yHat 回归系数
'''
def lwlrTest(testArr, xArr, yArr, k=1.0):
m = np.shape(testArr)[0] #计算测试数据集大小
yHat = np.zeros(m)
for i in range(m): #对每个样本点进行预测
yHat[i] = lwlr(testArr[i],xArr,yArr,k)
return yHat
'''
@description: 绘制多条局部加权回归曲线
@param: None
@return: None
'''
def plotlwlrRegression():
font = FontProperties(fname=r"c:\windows\fonts\simsun.ttc", size=14)
xArr, yArr = loadDataSet('C:/Users/Administrator/Desktop/blog/github/AILearners/data/ml/jqxxsz/8.Regression/ex0.txt') #加载数据集
yHat_1 = lwlrTest(xArr, xArr, yArr, 1.0) #根据局部加权线性回归计算yHat
yHat_2 = lwlrTest(xArr, xArr, yArr, 0.01) #根据局部加权线性回归计算yHat
yHat_3 = lwlrTest(xArr, xArr, yArr, 0.003) #根据局部加权线性回归计算yHat
xMat = np.mat(xArr) #创建xMat矩阵
yMat = np.mat(yArr) #创建yMat矩阵
srtInd = xMat[:, 1].argsort(0) #排序,返回索引值
xSort = xMat[srtInd][:,0,:]
fig, axs = plt.subplots(nrows=3, ncols=1,sharex=False, sharey=False, figsize=(10,8))
axs[0].plot(xSort[:, 1], yHat_1[srtInd], c = 'red') #绘制回归曲线
axs[1].plot(xSort[:, 1], yHat_2[srtInd], c = 'red') #绘制回归曲线
axs[2].plot(xSort[:, 1], yHat_3[srtInd], c = 'red') #绘制回归曲线
axs[0].scatter(xMat[:,1].flatten().A[0], yMat.flatten().A[0], s = 20, c = 'blue', alpha = .5) #绘制样本点
axs[1].scatter(xMat[:,1].flatten().A[0], yMat.flatten().A[0], s = 20, c = 'blue', alpha = .5) #绘制样本点
axs[2].scatter(xMat[:,1].flatten().A[0], yMat.flatten().A[0], s = 20, c = 'blue', alpha = .5) #绘制样本点
#设置标题,x轴label,y轴label
axs0_title_text = axs[0].set_title(u'局部加权回归曲线,k=1.0',FontProperties=font)
axs1_title_text = axs[1].set_title(u'局部加权回归曲线,k=0.01',FontProperties=font)
axs2_title_text = axs[2].set_title(u'局部加权回归曲线,k=0.003',FontProperties=font)
plt.setp(axs0_title_text, size=8, weight='bold', color='red')
plt.setp(axs1_title_text, size=8, weight='bold', color='red')
plt.setp(axs2_title_text, size=8, weight='bold', color='red')
plt.xlabel('X')
plt.show()
if __name__ == "__main__":
plotlwlrRegression()
运行结果如下:

可以看到,当k越小,拟合效果越好。但是当k过小,会出现过拟合的情况,例如k等于0.003的时候。
喜欢点下关注,你的关注是我写作的最大支持
来源:CSDN
作者:程序员XW
链接:https://blog.csdn.net/m0_37337849/article/details/104048946