朴素贝叶斯法

故事扮演 提交于 2020-01-20 01:51:14

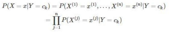
基本假设为:
在这里插入图片描述
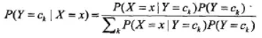
预测公式为:
在这里插入图片描述
所以从这个公式看得出,需要对类别概率和条件概率进行统计,最终选择后验概率最大的作为输出,因为对于所有的类别,分母部分是相同的,所以最终公式为分子取最大的类别:
在这里插入图片描述
平滑的本质:
平滑的本质是对训练数据集中那些概率为0的统计量分配一个基本的不为0的概率。

易学教程内所有资源均来自网络或用户发布的内容,如有违反法律规定的内容欢迎反馈
该文章没有解决你所遇到的问题?点击提问,说说你的问题,让更多的人一起探讨吧!