
void init() {
for(int i = 1; i <= N; i++)
f[i] = i;
}
int find(int k) {
return f[k] == k? k : f[k] = find(f[k]);
}
int union(int a, int b) {
f[find(b)] = find(a);
}
带权并查集
假定a、b是两个结点且a > b,a -> b表示区间[b, a)的和,b -> a表示负的区间[b, a)的和。
需要将结点对转化为一种左开右闭的形式以方便连接。
假设W1是要添加的边,W4是实际添加的边,它们之间的关系如下图所示。

对于路径压缩,直接累加各边权即可。
例题:HDU3038
http://acm.hdu.edu.cn/showproblem.php?pid=3038
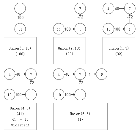
//样例输入 10 5 1 10 100 7 10 28 1 3 32 4 6 41 6 6 1 //样例输出 1
将这个求解过程可视化。

#include<bits/stdc++.h>
using namespace std;
int f[200010], w[200010];
int find(int k) {
if(k != f[k]) {
int a = find(f[k]);
w[k] += w[f[k]];
f[k] = a;
}
return f[k];
}
int N, M, A, B, S;
int main() {
while(~scanf("%d%d", &N, &M)) {
for(int i = 1; i <= N + 1; i++) {
f[i] = i;
w[i] = 0;
}
int ans = 0;
while(M--) {
scanf("%d%d%d", &A, &B, &S);
B++;
int Aa = find(A), Ba = find(B);
if(Aa != Ba) {
f[Ba] = Aa;
w[Ba] = S + w[A] - w[B];
}
else if(w[B] - w[A] != S) ans++;
}
cout << ans << endl;
}
}
来源:https://www.cnblogs.com/nioh/p/12215866.html