题目描述
有一个同学在学习分式。他需要将一个连分数化成最简分数,你能帮助他吗?
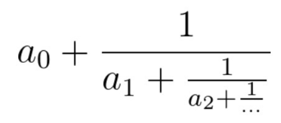
连分数是形如上图的分式。在本题中,所有系数都是大于等于0的整数。

输入的cont代表连分数的系数(cont[0]代表上图的a0,以此类推)。返回一个长度为2的数组[n, m],使得连分数的值等于n / m,且n, m最大公约数为1。
解题思路
首先将计算连分数过程抽象为不断计算ax+1/(n/m)的过程。以an-1为起点,递推地执行该过程。最后使用辗转相除法进行化简。
代码
class Solution {
public:
vector<int> fraction(vector<int>& cont) {
vector<int> result;
int n,m;//n为分子,m为分母
int oldN,oldM;
//首先以an-1为起点,初始化[n,m]
n = cont.at(cont.size()-1);
m = 1;
//接下来循环处理an-2到a0
for(int i= cont.size()-2;i >= 0;i--){
oldN = n;
oldM = m;
n = cont.at(i) * oldN + oldM;
m = oldN;
}
//下面进行分式化简
int a,b,c,d=1;
a = n, b = m;
while(a!=0){
c = a/b;
d = a - (b*c);
if(d == 0)
break;
a = b;
b = d;
}
if(a==0){
result.push_back(0);
result.push_back(1);
}
else{
n = n/b;
m = m/b;
result.push_back(n);
result.push_back(m);
}
return result;
}
};
来源:CSDN
作者:passionwp
链接:https://blog.csdn.net/passionwp/article/details/104009546