线性代数学习笔记——习题课——特征值与特征向量

廉价感情. 提交于 2020-01-19 02:02:23

 

1.特征值的判定方法

 

2. 特征向量的判定方法

 

3. 特征值、特征向量的计算步骤

 

4. 特征值的计算技巧

 

5. 特征值与特征向量的性质

 

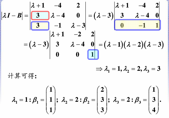
6. 示例

 

 

 

 

 

 

 

 

 

易学教程内所有资源均来自网络或用户发布的内容,如有违反法律规定的内容欢迎反馈
该文章没有解决你所遇到的问题?点击提问,说说你的问题,让更多的人一起探讨吧!