开场
之前一直写关于嵌入式linux和zynq的一些内容。这次打算加入DSP,这篇是一些基础知识,作为入门笔记。打算加下来从卷积、傅里叶、拉普拉斯、Z变换、离散傅里叶等来思考一些信号系统的知识。最后通过一些工程实例比如滤波器、PID控制器、调制解调器来应用下这些知识,这只是个开端。
e的起源
- 生活中经常会遇到这样一个问题,去银行存钱,银行会反着付给我们一些保管费,叫做利息。一般来讲银行说的利率是年利率。
-
做个简单的模型,小明去银行存1元钱,利率是100%,那年终小明会拿到连本带利一共(1+1*100%)1=2元。
-
假设银行的利率是按照月来给的,一年小明连本带利会拿到多少钱?(1+1/12)12=2.61303元(约等于),这是个复利的过程。
-
假设利息是按天支付的呢?
(1+1/365)365=2.714567482元(约等于)。
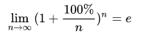
现在,我们就可以根据上面的过程,总结出小明用不同的方式存款能拿到的总金额。
sum = (1+1/n)n,而且你可以试下,当n>>+∞时,sum>>e=2.718281828。
想计算e,显然需要一个更好的工具了。
上面的问题,用极限的形式来表示就是:
很好理解,即使没有学过高等数学,表面上来看,也是当n趋于无穷大时,求后面代数式的结果。这个代数式的结果就是额e!
其实,看起来越难的数学,才越贴近我们的真是生活。比如求正方形的面积很简单s=aa,矩形就稍微麻烦点s=ab。不规则呢?(当然不是完全不规则,要保证函数连续且可导,说到可导,我认为这是第一个体现微积分思想的概念,定义是当一个函数处处存在这样的点,左极限=右极限,不存在这样的点就说明这条曲线有间断点或者说这条取消“不光滑” 拉格朗日最喜欢的光滑,傅里叶当初发表了自己的观点,任何函数都可以用正弦函数的组合来合成,拉格朗日认为有“菱角”的函数是不可能做到的,所以拒绝了他的工作)。
言归正传
用微积分:
这说明一个问题,复杂的过程才更符合现实的生活,更具有一般性。
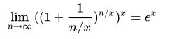
e的更一般形式是:
对于一个单位状态量的变化率是固定值的系统,其状态可以用自然常数的指数函数来表示。指数函数e^x的变化率与当前的状态值是一样的,这是指数函数的一个内禀属性,这是在定义e的时候就已经隐含的属性。
再来看看欧拉公式
科学界有几个最美的公式:
欧拉的:
;
麦克斯韦方程组
(不研究电磁学,所以这个不太懂)
爱因斯坦的
e=mc2;
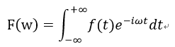
傅里叶的:
这里重点要说的欧拉公式:
这是它的三角形式,想要搞清楚欧拉公式,首先要明白eix究竟做了什么事情。
前一节废了好大的力气解释了,e这个特殊的数字,它代表了一种无限细分的连续。
盗用一张图:
x是弧度,eix就代表了单位长度在直角坐标系的连续转动。
根据上面的分析:
我们把x换成ix
这个是可以用matlab画出来的,当n趋于无穷大的时候,eix就是一个圆。
我们可以试试:
x=linspace(0,2*pi,50);%0到2pi之间均匀布置50个点;
n=5000;%此处可将n设成20,50,500或其他
e_ix=(1+x*1i./n).^n;
compass(e_ix);
这说明eix其实就是在直角坐标系根据弧度x在画圆。
好啦,解析下
单位长度在直角坐标系旋转180°,显然等于-1,+1=0。原来是1+1=2的问题。
为了证明1+1=2用了了一上午力气☺。
再来说说狄拉克
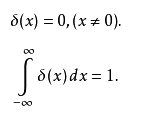
认识狄拉克可能更多的是在量子力学中。据听说被海森堡忽悠过去的。我们这里只关心他的狄拉克公式,这将是离散傅里叶和Z变换的中的采样信号。虽然公式很简单,但是在信号与系统、现代控制理论中有很大的用途。
除了0点,任意一点都等于零。定义域内积分等于1。
用面积的思维去考虑,这个函数貌似不存在。暂且只能这样理解,在零点时,函数的值为+无穷。
这好像闪电,某一个时间点能量无限大,但是它持续的时间为零。对狄拉克函数求傅里叶变换,结果恒等于1,也就是说,狄拉克函数在频域上,包含所有的频率!!这个特性很重要,我们是不是就可以把这个信号输入到系统中,来观测系统对任意信号的响应?对,事实就是这样。
正交基的概念
基的概念源于线性代数,先从最简单的模型引入。在三维坐标系中的向量可以分别分解到三个坐标轴上,得了三个投影,并且他们正交。正交就是不相干,没有能量交互的意思。
内积: <x,y>=<(a1,b1,c1),(a2,b2,c2)> =a1a2+b1b2+c1*c2.傅里叶变化就是用eiwt为基底,来表示任意函数的。
把eiwt带入,傅里叶变换的公式就出来了,是不是很神奇。
所以,傅里叶变换就是把任意函数投影成eiwt。想起网上有对情侣网名叫sin…和cos… 在我们工程师眼里,这是很危险的,sin和cos正交啊,不相干的。
总结
对于这些知识只能做到感性的认识,想要说清楚还有很大的距离,而且涉及的数学知识太多,毕竟大学的高数也就70分,现代和概率差点挂科。
来源:CSDN
作者:袁海璐
链接:https://blog.csdn.net/qq_32938605/article/details/103741513