一、 JDK7下的 CurrentHashMap
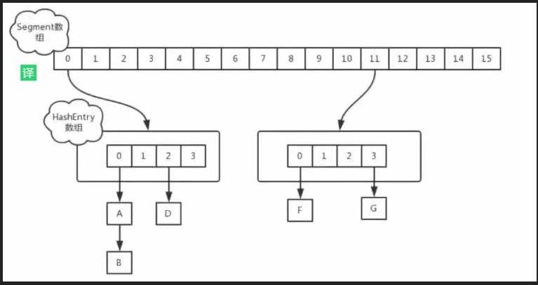
在JDK1.7版本中,ConcurrentHashMap的数据结构是由一个Segment数组和多个HashEntry组成,主要实现原理是实现了锁分离的思路解决了多线程的安全问题。Segment数组的意义就是将一个大的table分割成多个小的table来进行加锁,也就是上面的提到的锁分离技术,而每一个Segment元素存储的是 HashEntry数组+链表,这个和HashMap的数据存储结构一样。 如下图所示:

ConcurrentHashMap 与HashMap和Hashtable 最大的不同在于:put和 get 两次Hash到达指定的HashEntry,第一次hash到达Segment,第二次到达Segment里面的Entry,
然后在遍历entry链表.
ConcurrentHashMap完全允许多个读操作并发进行,读操作并不需要加锁。
1. 初始化
ConcurrentHashMap的初始化是会通过位运算来初始化Segment的大小,用ssize来表示,源码如下所示:
private static final int DEFAULT_CONCURRENCY_LEVEL = 16;
private void writeObject(java.io.ObjectOutputStream s)
throws java.io.IOException {
// For serialization compatibility
// Emulate segment calculation from previous version of this class
int sshift = 0;
int ssize = 1;
while (ssize < DEFAULT_CONCURRENCY_LEVEL) {
++sshift;
ssize <<= 1;
}
int segmentShift = 32 - sshift;
int segmentMask = ssize - 1;
}
因为size用位于运算来计算(ssize <<=1),所以Segment的大小取值都是以2的N次方,无关concurrencyLevel的取值,当然concurrencyLevel最大只能用16位的二进制来表示,即65536,换句话说,Segment的大小最多65536个,没有指定concurrencyLevel元素初始化,Segment的大小ssize默认为 DEFAULT_CONCURRENCY_LEVEL =16。每一个Segment元素下的HashEntry的初始化也是按照位与运算来计算,用cap来表示。HashEntry大小的计算也是2的N次方(cap <<=1), cap的初始值为1,所以HashEntry最小的容量为2如下:
int cap = 1;
while (cap < c)
cap <<= 1
2. put 操作
staticclass Segment<K,V> extends ReentrantLock implements Serializable {
private static final long serialVersionUID = 2249069246763182397L;
final float loadFactor;
Segment(float lf) { this.loadFactor = lf; }
}
从上Segment的继承体系可以看出,Segment实现了ReentrantLock,也就带有锁的功能,当执行put操作时,会进行第一次key的hash来定位Segment的位置,如果该Segment还没有初始化,即通过CAS操作进行赋值,然后进行第二次hash操作,找到相应的HashEntry的位置,这里会利用继承过来的锁的特性,在将数据插入指定的HashEntry位置时(链表的尾端),会通过继承ReentrantLock的 tryLock() 方法尝试去获取锁,如果获取成功就直接插入相应的位置,如果已经有线程获取该Segment的锁,那当前线程会以自旋的方式去继续的调用 tryLock() 方法去获取锁,超过指定次数就挂起,等待唤醒。
3. get 操作
ConcurrentHashMap的get操作跟HashMap类似,只是ConcurrentHashMap第一次需要经过一次hash定位到Segment的位置,然后再hash定位到指定的HashEntry,遍历该HashEntry下的链表进行对比,成功就返回,不成功就返回null。
4. 计算 size 的问题
计算ConcurrentHashMap的元素大小是一个有趣的问题,因为它是并发操作的,就是在你计算size的时候,他还在并发的插入数据,可能会导致你计算出来的size和你实际的size有相差(在你return size的时候,插入了多个数据),要解决这个问题,JDK1.7版本用两种方案:
- 第一种方案他会使用不加锁的模式去尝试多次计算 ConcurrentHashMap的size,最多三次,比较前后两次计算的结果,结果一致就认为当前没有元素加入,计算的结果是准确的.
- 第二种方案是如果第一种方案不符合,他就会给每个Segment加上锁,然后计算ConcurrentHashMap的size返回.
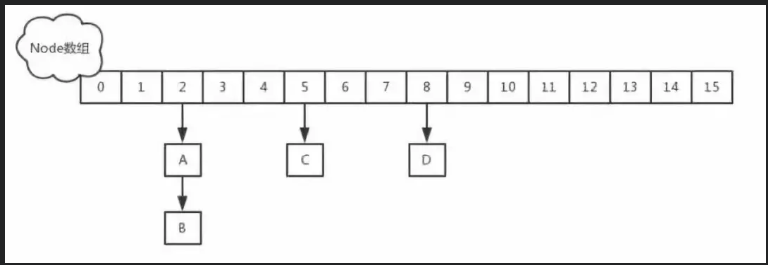
二、JDK8的 ConcurrentHashMap
JDK1.8 的实现已经摒弃了 Segment 的概念,而是直接用 Node数组+链表+红黑树的数据结构来实现,并发控制使用Synchronized 和 CAS 来操作,整个看起来就像是优化过且线程安全的 HashMap,虽然在JDK1.8中还能看到Segment的数据结构,但是已经简化了属性,只是为了兼容旧版本.

下面是构成 ConcurrentHashMap 实现结构的基础,下面看一下基本属性:
// node数组最大容量:2^30=1073741824
private static final int MAXIMUM_CAPACITY = 1 << 30;
// 默认初始值,必须是2的幕数
private static final int DEFAULT_CAPACITY = 16
// 数组可能最大值,需要与toArray()相关方法关联
static final int MAX_ARRAY_SIZE = Integer.MAX_VALUE - 8;
// 并发级别,遗留下来的,为兼容以前的版本
private static final int DEFAULT_CONCURRENCY_LEVEL = 16;
// 负载因子
private static final float LOAD_FACTOR = 0.75f;
// 链表转红黑树阀值,> 8 链表转换为红黑树
static final int TREEIFY_THRESHOLD = 8;
// 树转链表阀值,小于等于6(tranfer时,lc、hc=0两个计数器分别++记录原bin、新binTreeNode数量,<=UNTREEIFY_THRESHOLD 则untreeify(lo))
static final int UNTREEIFY_THRESHOLD = 6;
static final int MIN_TREEIFY_CAPACITY = 64;
private static final int MIN_TRANSFER_STRIDE = 16;
private static int RESIZE_STAMP_BITS = 16;
// 2^15-1,help resize的最大线程数
private static final int MAX_RESIZERS = (1 << (32 - RESIZE_STAMP_BITS)) - 1;
// 32-16=16,sizeCtl中记录size大小的偏移量
private static final int RESIZE_STAMP_SHIFT = 32 - RESIZE_STAMP_BITS;
// forwarding nodes的hash值
static final int MOVED = -1;
// 树根节点的hash值
static final int TREEBIN = -2;
// ReservationNode的hash值
static final int RESERVED = -3;
// 可用处理器数量
static final int NCPU = Runtime.getRuntime().availableProcessors();
// 存放node的数组
transient volatile Node<K,V>[] table;
/*控制标识符,用来控制table的初始化和扩容的操作,不同的值有不同的含义
*当为负数时:-1代表正在初始化,-N代表有N-1个线程正在 进行扩容
*当为0时:代表当时的table还没有被初始化
*当为正数时:表示初始化或者下一次进行扩容的大小
private transient volatile int sizeCtl;
1. JDK8的Node
Node是ConcurrentHashMap存储结构的基本单元,继承于HashMap中的Entry,用于存储数据,Node数据结构很简单,就是一个链表,但是只允许对数据进行查找,不允许进行修改。
2. TreeNode
TreeNode继承于Node,但是数据结构换成了二叉树结构,它是红黑树的数据的存储结构,用于红黑树中存储数据,当链表的节点数大于8时会转换成红黑树的结构,他就是通过TreeNode作为存储结构代替Node来转换成黑红树。
ConCurrentHashMap不允许key为null和value 为null的原因:
- 在源码中若key或value为null,会抛出NullPointerException异常。
- 可能会在并发的情况下带来难以容忍的二义性,在非并发环境中可以解决此问题,而在并发时,在map容器里面,调用map.get(key)方法得到的值是null,那你无法判断这个key是在map里面没有映射过,还是这个key在map里面根本就不存在。这种情况下,在非并发安全的map中,你可以通过map.contains(key)的方法来判断。但是在考虑并发安全的map中,在两次调用的过程中,这个值是有可能被改变的。
总结
可以看出JDK1.8版本的ConcurrentHashMap的数据结构已经接近HashMap,相对而言,ConcurrentHashMap只是增加了同步的操作来控制并发,从JDK1.7版本的ReentrantLock+Segment+HashEntry,到JDK1.8版本中synchronized+CAS+HashEntry+红黑树。
- JDK1.8的实现降低锁的粒度,JDK1.7版本锁的粒度是基于Segment的,包含多个HashEntry,而JDK1.8锁的粒度就是HashEntry(首节点)
- JDK1.8版本的数据结构变得更加简单,使得操作也更加清晰流畅,因为已经使用synchronized来进行同步,所以不需要分段锁的概念,也就不需要Segment这种数据结构了,由于粒度的降低,实现的复杂度也增加了
- JDK1.8使用红黑树来优化链表,基于长度很长的链表的遍历是一个很漫长的过程,而红黑树的遍历效率是很快的,代替一定阈值的链表,这样形成一个最佳拍档。
JDK1.8为什么使用内置锁synchronized来代替重入锁ReentrantLock,我觉得有以下几点:
- 因为粒度降低了,在相对而言的低粒度加锁方式,synchronized并不比ReentrantLock差,在粗粒度加锁中ReentrantLock可能通过Condition来控制各个低粒度的边界,更加的灵活,而在低粒度中,Condition的优势就没有了。
- JVM的开发团队从来都没有放弃synchronized,而且基于JVM的synchronized优化空间更大,使用内嵌的关键字比使用API更加自然。
- 在大量的数据操作下,对于JVM的内存压力,基于API的ReentrantLock会开销更多的内存,虽然不是瓶颈,但是也是一个选择依据。
来源:CSDN
作者:斜月&三星
链接:https://blog.csdn.net/qq_43322057/article/details/104032968