以下为本人比赛论文内容:
1.1 数据选取
首先在国家统计年鉴上查找出各个省的经济经济指标和环境指标,可以把二者进行交互在一起,共同构成经济和环境的三级指标层次分析评价模型,模型的建立经济方面选取指标为地方财政车船税(亿元)、地方财政专项收入(亿元)、地方财政国有资源(资产)有偿使用收入(亿元)、地方财政其他非税收入(亿元)、居民人均可支配收入(元)、居民人均可支配收入(元),环境方面选取的指标为二氧化硫排放量(吨)、氮氧化物排放量(吨)、铅排放量(千克)、汞排放量(千克)。
1.2 层次分析法模型构建步骤
1.2.1递阶层次结构的建立
将问题所涉及的因素条理化、层次化、构造出一个有层次的结构模型,在这个模型中复杂的问题被分解成若干个元素,各层次之间都有一定的关系,上一层次的元素对下一层次的元素有支配作用出,层次可以分为以下三类:最高层、中间层、最低层。而建立的递阶层次结构具有以下特点:
- 整个结构中,层次数不受限制;
- 最高层只有一个元素,每一个元素所支配的元素一般不超过9个;
- 从上到下顺序的存在支配关系,并用直线段表示;
- 具有子层次的结构可以引入虚元素;
1.2.2构造两两比价判断矩阵
我们根据具体情况,给出支配因素哪个更重要,给出判别矩阵。判别矩阵具有
![]()
具有这种性质的矩阵称为正互反矩阵,下面给出权重表:

1.2.3单一准则下元素相对权重计算
(1)和法
取判断矩阵n个列向量的归一化后算数术平均值近似作为权重向量,既有:

(2)根法
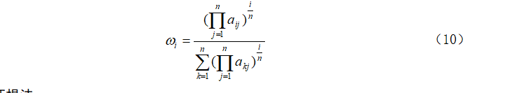
将判别矩阵的各个向量采用几何平均后归一化,得到的列向量近似作为加权向量。

(3)特征根法
首先求出矩阵的最大特征值和右特征向量,然后将归一化后的特征向量作为排序权重向量。
1.2.4一致性检验
1.计算一致性指标

2.查找相应的平均随机一致性指标 RI


1.3环境与经济层次分析模型建立
1.3.1评价指标的确定
国内对于个体评估研究还没有统一的指标体系,一般是按照作者主观选取有一定的关系,本文选取的评价指标见下表:

1.3.2指标权重体系的构建
采用层次分析法将各省层次评估模型评价体系中一级系统、二级、三级子系统指标因子的重要性进行两两比较,构造判别矩阵,得出如下指标权重表所示。


1.3.3消除量纲的影响
由于原始数据量纲各不相同,不能直接数学模型计算,为方便我们采用最大值法进行评价,具有正相关的指标标准化计算公式为:
![]()

对于具有相反相关性的指标进行逆处理,公式为:

1.3.4计算各层元素对目标层的合成权重
将各指标的权重、指标原始数据无量纲化化之后,通过计算综合值,得出综合评价。
采用线性加权求和计算模型进行计算:
![]()
这样从第三级指标开始,计算上一层的指标,再有上一层的权重乘以评价值,通过线性加权求和,算出最顶层指标值,即为个体评估得分。
1.4模型的结果
根据以上步骤可以得出如下各省份经济和环境的综合指标排序情况,以经济和环境的权重系数都为0.5,根据以上得出排序指标如下:

从以上分析知,模型综合了经济指标和环境指标两方面算出综合评价值,从表17中可以看出上海市综合指标值为0.769,综合排序为第一,首先对于上海是沿海城市,海陆交通便利,上海也邻近沪宁杭工业基地,工业基础好,上海经济发达,科研基地多,有良好的科技基础、上海市吸引力强,有大批人才,有利于发展。从这几方面可以看出上海经济方面是非常强的,上海市政府对于环境的治理也实施者重大措施,故才使上海在环境和经济方面综合排序值为第一位。北京、浙江、天津依次排位第2、3、4。而排在最后的是贵州和云南,由于交通不便致使环境和经济的总排序比较落后,其综合排序值分别为0.368、0.361。
1.5 相关代码:
经济指标权重系数表:
clear
clc
a=[1,1,1,4,1,1/2;1,1,2,4,1,1/2;1,1/2,1,5,3,1/2;1/4,1/4,1/5,1,1/3,1/3;1,1,1/3,3,1,1;2,2,2,3,3,1];
[x,y]=eig(a);
eigenvalue=diag(y);
lamda=eigenvalue(1); %矩阵a的最大特征值
ci1=(lamda-6)/5 %一致性指标CI
cr1=ci1/1.26 %一致性比率CR,如果小于0.1,则通过一致性检验。
w1=x(:,1)/sum(x(:,1)) %相应的特征向量W1
环境指标权重系数表:
clear
clc
a=[1 2 2 3;1/2 1 2 5;1/2 1/2 1 4;1/3 1/5 1/4 1];
[x,y]=eig(a);
eigenvalue=diag(y);
lamda=eigenvalue(1); %矩阵a的最大特征值
ci1=(lamda-4)/3 %一致性指标CI
cr1=ci1/0.89 %一致性比率CR,如果小于0.1,则通过一致性检验。
w1=x(:,1)/sum(x(:,1)) %相应的特征向量W1
计算经济与环境综合评价指标值:
clear
clc
num=xlsread('问题三.xls');
m=max(num);
A1=[];
for i=1:6
a=num(:,i)./m(i);
A1=[A1,a];
end
B2=[];
for j=7:10
b=num(:,j)./m(j);
B2=[B2,b];
end
B1=1-B2;
F1=[];
for k=1:31 f=0.1507.*A1(k,1)+0.1792.*A1(k,2)+0.1886.*A1(k,3)+0.0472.*A1(k,4)+0.1464.*A1(k,5)+0.2879.*A1(k,6);
F1=[F1;f];%经济综合评价指标值
end
F2=[];
for k1=1:31
f1=0.3996.*B1(k1,1)+0.3142.*B1(k1,2)+0.2086.*B1(k1,3)+0.0776.*B1(k1,4);
F2=[F2;f1];%环境综合指标评价值
end
F=[];
f2=1/2.*(F1+F2);
F=[F;f2];%环境与经济综合评价指标值
来源:CSDN
作者:范飓飞
链接:https://blog.csdn.net/fanjufei123456/article/details/104008717