
前言:台达PLC是一款国产优秀的可编程控制器,广泛应于工业控制领域,是一款性能高,运行稳定的控制器。此次我们要把台达DVP-ES系列PLC连接到EMCP物联网云平台(简称EMCP),实现电脑Web网页、手机APP和微信对台达PLC(D0/D1/Y0/Y2)寄存器的远程监控和D100和Y20的远程读写。
1.1在对接前我们需准备如下物品;
台达PLC一台(注意带COM2或3通讯串口),和自带的编程电缆。
河北蓝蜂科技的DTU模块一台,天线和电源适配器(以下用GM10-DTU作为实例)。
SIM卡一张,有流量,大卡(移动或联通卡)。
联网电脑一台(WinXP/Win7/Win8操作系统)。
电工工具、导线若干。
1.2 DTU准备工作
此处参考《GM10-DTU用户使用手册》进行操作,我们需要对DTU网关(WM10-DTU网关的设置和GM10类似,以下均以GM10-DTU网关来介绍)连接天线、插上SIM卡(移动/联通流量卡,大卡)、连接12V或24V的电源适配器。
1.3 PLC准备工作。
PLC连接电源(注意电源是24VDC还是220VAC),将编程电缆插上PLC的COM1口,另一端连电脑的COM口(或是USB-232线),PLC的485串口(COM2 +/-端子)连接到GM10的485A和485B接线端子(也可以使用COM3,这里统一按COM2口进行讲解)。如下图;
打开《Delta WPLSoft》编程软件,打开程序,选择好自己的PLC型号和COM1编程通讯参数。然后进行COM2的RS485通讯参数设定,本文使用DVP-60ES型号进行说明,其他同系列型号操作基本一致。
在梯形图编辑窗口中,选中一行空白行,点击菜单栏的“向导”,选择“通讯程序”,如下图。
进入COM口参数选择界面,(某些型号会让您选择设定的COM口,选择自己要连接DTU的PLC串口,这里我们选择COM2)选择万COM口后点击“下一步”。设置COM2串口参数进行如下图设置。确保设置无误后点击“下一步”,
然后选择选择通讯应用中选择“MODBUS数据传输/MODRD/MODWR/MODRW指令”之后一直点击“下一步”。在新窗口中保持默认设置,然后点击“完成”。
在梯形图中自动生成通讯参数程序,如下图:
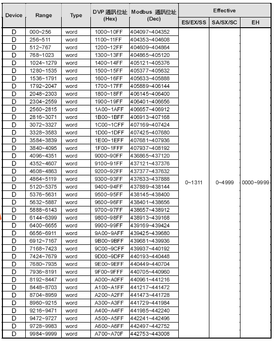
台达PLC内部集成了MODBUS-RTU功能,按如上对COM2口的通讯设置就完成了台达PLC MODBUS从站的建立,PLC内部寄存器与MODBUS地址对应关系在《台达PLC通讯协议v1.1》中有详细说明,如下图:
用管理员账号登录EMCP平台www.lfemcp.com (建议使用IE9以上浏览器或谷歌浏览器),对EMCP云平台进行设置。具体操作参照《EMCP物联网云平台用户手册》。登录EMCP后首先进入设备列表显示页面,因为我们未创建任何设备,所以是一个空页面。点击右上角的“后台管理”按钮(只有管理账号才有此权限),进入EMCP平台的后台。
3.1远程配置DTU
打开“后台管理—>模块管理”页面,将DTU绑定至此管理员账号,然后就可以使用“远程配置”功能来配置DTU的各项通讯参数和功能参数。最主要两个地方需要配置,一是与PLC通讯的串口参数,二是设置DTU定时采集PLC数据的MODBUS通道参数,下面分步骤对此功能进行讲解。注:模块只有在线后才可以进行远程配置,也可以使用“DTU配置软件”对模块配置,参考文档《DTU配置软件使用手册》。
3.1.1模块绑定
模块初始绑定密码是111111,直接点击绑定即可。
3.1.2 模块远程配置
模块的远程配置最好先“读取”再“写入”,只有写入成功后才表示该参数成功配置到DTU中,“写入”后也可以“读取”以检查之前的操作是否成功。如果不用模块DI报警点则无需进行“短信设置”。
Modbus配置页详解:
设备从站号:为模块所连设备的MODBUS从站地址(范围1-250),此地址必须和PLC设置的MODBUS从站号一致(上述第二节中的“通讯地址设定”)。
功能码:为模块读取设备MODBUS寄存区的标志符。“功能码01”对应“线圈”(0XXXXX),“功能码02”对应“离散量输入”(1XXXXX),“功能码03”对应“保持寄存器”(4XXXXX),“功能码04”对应“输入寄存器”(3XXXXX)。
比如,在台达PLC内部,PLC本地寄存器与功能码对应关系如下表
| DTU配置功能码 |
PLC内部地址 |
|
01 |
S,Y,T,M,C |
|
02 |
X |
|
03 |
T(word),C(word), D |
|
04 |
无 |
起始地址:为模块所连设备的MODBUS寄存器读取的起始地址(不包含寄存区标识符)。图中1281对应Y0开始,4097对应D0开始。
数据长度:为模块读取设备数据的连续长度,图中的长度为10,(结合上面配置的起始地址)既连续读取从Y0到Y9共10个数据,或D0到D9共10个数据。
标准DTU可连接多个从站(最多4个),可点击“新建”创建新子设备从站,配置规则按上述说明。
注:当DTU出现异常,如无法连接网络(不在线),或者无法与PLC正常通讯,此时可以使用配置口(默认RS232)连接PC,使用“DTU配置软件”来查看状态及异常报警,详见《DTU配置软件使用手册》。
3.2 新建数据规则
点击网页左侧的“数据规则”进入规则设置页面,点击右上角的“新增”,在弹出的窗口中设置该数据规则的名称“台达PLC”和展示样式“列表展示”,我们可以选择列表展示或组态展示,列表展示:我们所添加的数据会以固定的列表样式展示,列表展示方式简单方便(数据测试阶段可选用列表展示)。组态展示:我们可以任意绘制设备数据的展示样式比如添加图形、图片、仪表盘、柱状填充和文字等内容(此功能类似传统的组态软件可参考《EMCP平台画面组态使用说明》文档)。数据规则新建完后点击“实时数据”新增实时数据(3.1.2中设置的Modbus配置),点击“读写数据”创建平台对设备手动读写操作的数据。创建规则展示如下。
实时数据:是DTU根据所配置的Modbus采集通道(参考上面的3.1介绍),按设定的采集间隔定时读取PLC数据并上传到平台的数据,这里我们设置D0(16位整形)、D2(32位浮点)、Y0、Y1四个实时数据,设置如下;
读写数据:无需在DTU配置Modbus定时采集通道,可直接通过平台对下位设备进行数据的手动读写操作,PLC内部地址对应的读写功能码如下表:
注意:实时数据必须和模块的Modbus规则配置对应,而读写数据无需对DTU进行modubs规则配置,直接在平台读写数据列表中添加数据即可。
EMCP平台所有"寄存器地址"设置均不需要带寄存器区标识符,如读写“保持寄存器”(03功能码)中404097的数据,在平台数据规则中的"寄存器地址"填写4097即可。
报警设置,在已经创建好的实时数据中,点击对应数据的“报警”选项,进入报警设置页面。我们可以设定该数据的报警上下限和报警内容以及是否启用此报警。设定报警后当该数据超出报警上下限后平台会自动记录报警的时间和报警值,同时平台会向用户登录的APP和微信推送报警消息。
3.3 新建设备
新建“设备”, 选择菜单“设备管理”-> “新增”新建一个设备“台达PLC”。新建设备是填写设备的基本信息,1选择设备匹配的图片(从本地上传,也可不选择,系统会以默认图片显示);
2输入模块SN,输入要绑定的SN的编码,如果此SN之前未绑定,则会弹出绑定窗口进行绑定;
3选择上面创建的数据规则;
4点击“地图”按钮选择设备所在的地理位置。完成后点击“保存”。
《WPLSoft》编程软件与PLC联机后,点击在线监控装置表,监控要读取的数据实际值,示例如下图;
用户登录EMCP平台(www.lfemcp.com),点击“台达PLC”设备的图片或设备名称进入设备。首先看到的是PLC定时采集数据的显示(实时数据),通过点击“读写数据”对台达PLC进行读写操作,点击“历史数据”查看设备定时存储数据的历史数据报表,点击“报警记录”进入报警信息记录报表页面,显示如下。
在手机安装《云联物通》手机APP(可通过电脑网页平台登录页右上角的二维码扫描下载,或各大应用商店下载),凭用户名和密码登录,进入设备列表后点击“台达PLC”设备,直接进入的是实时数据列表页面或组态画面(组态展示方式下),点击右上角菜单栏“三杠按钮”,弹出功能菜单,在菜单中点击“读写数据”对读写数据进行读写操作,点击“历史报表”查看设备的历史存储数据报表,点击“历史曲线”可查看各数据的历史趋势图,点击 “报警信息”查看该设备的报警记录,点击“设备详情”查看设备的详细信息或视频画面。
5.1 画面组态功能。
通过“后台设置->数据规则->设置->组态展示”这几个步骤来选择使用组态展示形式来展示对应数据规则。选择为组态展示后,规则的画面组态选项变为可用,点击“画面组态”选项,进入编辑页面。通过组态编辑页面我们可以任意绘制图片、文字、数显框、按钮、指示灯、管道、设备等等空间,详细功能请参考《EMCP平台画面组态使用说明》http://www.lanfengkeji.com/h-col-135.html。
5.2微信功能。
5.3 数据规则中开启通讯报警和授权普通用户功能。
通讯报警功能就是当DTU与PLC通讯异常时,在相应设备中会进行报警,根据通讯异常的原因在报警内容中进行注释,方便调试。设置及效果如下:
5.4设备公开功能。
在设备管理中,可以将设备的属性设置为公开,公开后会生成设备所属的url连接和二维码,通过该连接和二维码可实现免登陆打开设备,同样也可将设备分享到社交圈。
5.5新增普通账号及设备授权。
管理员账号创建完设备后,可以通过“普通账号”选项为用户创建一个单独的账号供其访问所属的设备。此功能主要为用户开通一个专属的账号,用户查看自己所属的设备。
5.6视频监控功能。
EMCP平台可实现萤石云摄像头的接入,从而实现web、APP、微信等终端对现场视频监控功能。
5.7风格定制/系统定制服务。
对于大中型企业,我们还为用户提供平台和软件定制服务,介绍如下;
风格定制服务:风格定制是在原有EMCP平台基础上实现用户个性化风格的显示,整个服务依旧运行在原EMCP平台服务器上的,布局、功能和架构等基础内容不做改变。风格定制内容主要体现在电脑网页、手机网页、安卓APP、微信公众平台的登录域名、登录页、平台名称、平台图标等。适合企业品牌建设。
私有云部署服务:为将EMCP系统部署到用户的服务器上,除了显示风格的定制,还可以更改系统的功能的增加、布局显示的改变以及数据分析等服务。
如有需求可联系蓝蜂销售人员。
6.1 设备离线的原因
1.SN码和密码绑定错误,EMCP平台所建设备的SN码必须和所连GM10模块的SN码相同(SN位于GM10右侧面标签),密码必须和DTU配置软件设置的密码相同(默认111111)。
2.SIM卡选择不对,必须选择移动或联通的SIM(部分联通卡不兼容,建议选用移动卡)。
3.SIM欠费。
4.网络信号差,DTU在信号强度低于15或误码率高于3时会出现掉线或无法联网的情况,最好保证信号强度在20以上误码率为0(可通过改变天线的安放位置调整信号强度,信号强度可通过DTU配置软件或平台模块远程配置中获得)。
6.2 如平台无法读取PLC的数据的原因。
1.PLC的Modbus从站没有创建成功。此时我们可以通过Modscan32主站软件对PLC进行通讯测试,如果无法读取PLC的数据那么说明PLC的Modbus从站没有创建成功。
2.接线错误。确认PLC和DTU之间接线定义是否正确,接线是否牢固。
3.数据创建失败,检查数据规则中所创建的设备是否正确。
4,如
前言:台达PLC是一款国产优秀的可编程控制器,广泛应于工业控制领域,是一款性能高,运行稳定的控制器。此次我们要把台达DVP-ES系列PLC连接到EMCP物联网云平台(简称EMCP),实现电脑Web网页、手机APP和微信对台达PLC(D0/D1/Y0/Y2)寄存器的远程监控和D100和Y20的远程读写。
1.1在对接前我们需准备如下物品;
台达PLC一台(注意带COM2或3通讯串口),和自带的编程电缆。
河北蓝蜂科技的DTU模块一台,天线和电源适配器(以下用GM10-DTU作为实例)。
SIM卡一张,有流量,大卡(移动或联通卡)。
联网电脑一台(WinXP/Win7/Win8操作系统)。
电工工具、导线若干。
1.2 DTU准备工作
此处参考《GM10-DTU用户使用手册》进行操作,我们需要对DTU网关(WM10-DTU网关的设置和GM10类似,以下均以GM10-DTU网关来介绍)连接天线、插上SIM卡(移动/联通流量卡,大卡)、连接12V或24V的电源适配器。
1.3 PLC准备工作。
PLC连接电源(注意电源是24VDC还是220VAC),将编程电缆插上PLC的COM1口,另一端连电脑的COM口(或是USB-232线),PLC的485串口(COM2 +/-端子)连接到GM10的485A和485B接线端子(也可以使用COM3,这里统一按COM2口进行讲解)。如下图;
打开《Delta WPLSoft》编程软件,打开程序,选择好自己的PLC型号和COM1编程通讯参数。然后进行COM2的RS485通讯参数设定,本文使用DVP-60ES型号进行说明,其他同系列型号操作基本一致。
在梯形图编辑窗口中,选中一行空白行,点击菜单栏的“向导”,选择“通讯程序”,如下图。
进入COM口参数选择界面,(某些型号会让您选择设定的COM口,选择自己要连接DTU的PLC串口,这里我们选择COM2)选择万COM口后点击“下一步”。设置COM2串口参数进行如下图设置。确保设置无误后点击“下一步”,
然后选择选择通讯应用中选择“MODBUS数据传输/MODRD/MODWR/MODRW指令”之后一直点击“下一步”。在新窗口中保持默认设置,然后点击“完成”。
在梯形图中自动生成通讯参数程序,如下图:
台达PLC内部集成了MODBUS-RTU功能,按如上对COM2口的通讯设置就完成了台达PLC MODBUS从站的建立,PLC内部寄存器与MODBUS地址对应关系在《台达PLC通讯协议v1.1》中有详细说明,如下图:
用管理员账号登录EMCP平台www.lfemcp.com (建议使用IE9以上浏览器或谷歌浏览器),对EMCP云平台进行设置。具体操作参照《EMCP物联网云平台用户手册》。登录EMCP后首先进入设备列表显示页面,因为我们未创建任何设备,所以是一个空页面。点击右上角的“后台管理”按钮(只有管理账号才有此权限),进入EMCP平台的后台。
3.1远程配置DTU
打开“后台管理—>模块管理”页面,将DTU绑定至此管理员账号,然后就可以使用“远程配置”功能来配置DTU的各项通讯参数和功能参数。最主要两个地方需要配置,一是与PLC通讯的串口参数,二是设置DTU定时采集PLC数据的MODBUS通道参数,下面分步骤对此功能进行讲解。注:模块只有在线后才可以进行远程配置,也可以使用“DTU配置软件”对模块配置,参考文档《DTU配置软件使用手册》。
3.1.1模块绑定
模块初始绑定密码是111111,直接点击绑定即可。
3.1.2 模块远程配置
模块的远程配置最好先“读取”再“写入”,只有写入成功后才表示该参数成功配置到DTU中,“写入”后也可以“读取”以检查之前的操作是否成功。如果不用模块DI报警点则无需进行“短信设置”。
Modbus配置页详解:
设备从站号:为模块所连设备的MODBUS从站地址(范围1-250),此地址必须和PLC设置的MODBUS从站号一致(上述第二节中的“通讯地址设定”)。
功能码:为模块读取设备MODBUS寄存区的标志符。“功能码01”对应“线圈”(0XXXXX),“功能码02”对应“离散量输入”(1XXXXX),“功能码03”对应“保持寄存器”(4XXXXX),“功能码04”对应“输入寄存器”(3XXXXX)。
比如,在台达PLC内部,PLC本地寄存器与功能码对应关系如下表
| DTU配置功能码 |
PLC内部地址 |
|
01 |
S,Y,T,M,C |
|
02 |
X |
|
03 |
T(word),C(word), D |
|
04 |
无 |
起始地址:为模块所连设备的MODBUS寄存器读取的起始地址(不包含寄存区标识符)。图中1281对应Y0开始,4097对应D0开始。
数据长度:为模块读取设备数据的连续长度,图中的长度为10,(结合上面配置的起始地址)既连续读取从Y0到Y9共10个数据,或D0到D9共10个数据。
标准DTU可连接多个从站(最多4个),可点击“新建”创建新子设备从站,配置规则按上述说明。
注:当DTU出现异常,如无法连接网络(不在线),或者无法与PLC正常通讯,此时可以使用配置口(默认RS232)连接PC,使用“DTU配置软件”来查看状态及异常报警,详见《DTU配置软件使用手册》。
3.2 新建数据规则
点击网页左侧的“数据规则”进入规则设置页面,点击右上角的“新增”,在弹出的窗口中设置该数据规则的名称“台达PLC”和展示样式“列表展示”,我们可以选择列表展示或组态展示,列表展示:我们所添加的数据会以固定的列表样式展示,列表展示方式简单方便(数据测试阶段可选用列表展示)。组态展示:我们可以任意绘制设备数据的展示样式比如添加图形、图片、仪表盘、柱状填充和文字等内容(此功能类似传统的组态软件可参考《EMCP平台画面组态使用说明》文档)。数据规则新建完后点击“实时数据”新增实时数据(3.1.2中设置的Modbus配置),点击“读写数据”创建平台对设备手动读写操作的数据。创建规则展示如下。
实时数据:是DTU根据所配置的Modbus采集通道(参考上面的3.1介绍),按设定的采集间隔定时读取PLC数据并上传到平台的数据,这里我们设置D0(16位整形)、D2(32位浮点)、Y0、Y1四个实时数据,设置如下;
读写数据:无需在DTU配置Modbus定时采集通道,可直接通过平台对下位设备进行数据的手动读写操作,PLC内部地址对应的读写功能码如下表:
注意:实时数据必须和模块的Modbus规则配置对应,而读写数据无需对DTU进行modubs规则配置,直接在平台读写数据列表中添加数据即可。
EMCP平台所有"寄存器地址"设置均不需要带寄存器区标识符,如读写“保持寄存器”(03功能码)中404097的数据,在平台数据规则中的"寄存器地址"填写4097即可。
报警设置,在已经创建好的实时数据中,点击对应数据的“报警”选项,进入报警设置页面。我们可以设定该数据的报警上下限和报警内容以及是否启用此报警。设定报警后当该数据超出报警上下限后平台会自动记录报警的时间和报警值,同时平台会向用户登录的APP和微信推送报警消息。
3.3 新建设备
新建“设备”, 选择菜单“设备管理”-> “新增”新建一个设备“台达PLC”。新建设备是填写设备的基本信息,1选择设备匹配的图片(从本地上传,也可不选择,系统会以默认图片显示);
2输入模块SN,输入要绑定的SN的编码,如果此SN之前未绑定,则会弹出绑定窗口进行绑定;
3选择上面创建的数据规则;
4点击“地图”按钮选择设备所在的地理位置。完成后点击“保存”。
《WPLSoft》编程软件与PLC联机后,点击在线监控装置表,监控要读取的数据实际值,示例如下图;
用户登录EMCP平台(www.lfemcp.com),点击“台达PLC”设备的图片或设备名称进入设备。首先看到的是PLC定时采集数据的显示(实时数据),通过点击“读写数据”对台达PLC进行读写操作,点击“历史数据”查看设备定时存储数据的历史数据报表,点击“报警记录”进入报警信息记录报表页面,显示如下。
在手机安装《云联物通》手机APP(可通过电脑网页平台登录页右上角的二维码扫描下载,或各大应用商店下载),凭用户名和密码登录,进入设备列表后点击“台达PLC”设备,直接进入的是实时数据列表页面或组态画面(组态展示方式下),点击右上角菜单栏“三杠按钮”,弹出功能菜单,在菜单中点击“读写数据”对读写数据进行读写操作,点击“历史报表”查看设备的历史存储数据报表,点击“历史曲线”可查看各数据的历史趋势图,点击 “报警信息”查看该设备的报警记录,点击“设备详情”查看设备的详细信息或视频画面。
5.1 画面组态功能。
通过“后台设置->数据规则->设置->组态展示”这几个步骤来选择使用组态展示形式来展示对应数据规则。选择为组态展示后,规则的画面组态选项变为可用,点击“画面组态”选项,进入编辑页面。通过组态编辑页面我们可以任意绘制图片、文字、数显框、按钮、指示灯、管道、设备等等空间,详细功能请参考《EMCP平台画面组态使用说明》http://www.lanfengkeji.com/h-col-135.html。
5.2微信功能。
5.3 数据规则中开启通讯报警和授权普通用户功能。
通讯报警功能就是当DTU与PLC通讯异常时,在相应设备中会进行报警,根据通讯异常的原因在报警内容中进行注释,方便调试。设置及效果如下:
5.4设备公开功能。
在设备管理中,可以将设备的属性设置为公开,公开后会生成设备所属的url连接和二维码,通过该连接和二维码可实现免登陆打开设备,同样也可将设备分享到社交圈。
5.5新增普通账号及设备授权。
管理员账号创建完设备后,可以通过“普通账号”选项为用户创建一个单独的账号供其访问所属的设备。此功能主要为用户开通一个专属的账号,用户查看自己所属的设备。
5.6视频监控功能。
EMCP平台可实现萤石云摄像头的接入,从而实现web、APP、微信等终端对现场视频监控功能。
5.7风格定制/系统定制服务。
对于大中型企业,我们还为用户提供平台和软件定制服务,介绍如下;
风格定制服务:风格定制是在原有EMCP平台基础上实现用户个性化风格的显示,整个服务依旧运行在原EMCP平台服务器上的,布局、功能和架构等基础内容不做改变。风格定制内容主要体现在电脑网页、手机网页、安卓APP、微信公众平台的登录域名、登录页、平台名称、平台图标等。适合企业品牌建设。
私有云部署服务:为将EMCP系统部署到用户的服务器上,除了显示风格的定制,还可以更改系统的功能的增加、布局显示的改变以及数据分析等服务。
如有需求可联系蓝蜂销售人员。
6.1 设备离线的原因
1.SN码和密码绑定错误,EMCP平台所建设备的SN码必须和所连GM10模块的SN码相同(SN位于GM10右侧面标签),密码必须和DTU配置软件设置的密码相同(默认111111)。
2.SIM卡选择不对,必须选择移动或联通的SIM(部分联通卡不兼容,建议选用移动卡)。
3.SIM欠费。
4.网络信号差,DTU在信号强度低于15或误码率高于3时会出现掉线或无法联网的情况,最好保证信号强度在20以上误码率为0(可通过改变天线的安放位置调整信号强度,信号强度可通过DTU配置软件或平台模块远程配置中获得)。
6.2 如平台无法读取PLC的数据的原因。
1.PLC的Modbus从站没有创建成功。此时我们可以通过Modscan32主站软件对PLC进行通讯测试,如果无法读取PLC的数据那么说明PLC的Modbus从站没有创建成功。
2.接线错误。确认PLC和DTU之间接线定义是否正确,接线是否牢固。
3.数据创建失败,检查数据规则中所创建的设备是否正确。
4,如果显示“数据未采集”,请检查模块的“远程配置”是否设置了Modbus采集通道,参考3.1.2中的设置。
-
一、准备工作。
-
二,PLC的 modbus从站创建。
-
三,EMCP平台设置。
-
四,实验效果。
-
五,辅助功能介绍
-
微信关注“EMCP物联网云平台”公众号,按照提示绑定平台账号,即可使用微信监控设备,接收报警信息。为了便于对设备的管理建议将“EMCP物联网云平台”公众号“置顶”。
-
六,故障分析。
果显示“数据未采集”,请检查模块的“远程配置”是否设置了Modbus采集通道,参考3.1.2中的设置。
-
一、准备工作。
-
二,PLC的 modbus从站创建。
-
三,EMCP平台设置。
-
四,实验效果。
-
五,辅助功能介绍
-
微信关注“EMCP物联网云平台”公众号,按照提示绑定平台账号,即可使用微信监控设备,接收报警信息。为了便于对设备的管理建议将“EMCP物联网云平台”公众号“置顶”。
-
六,故障分析。
-
6.1 设备离线的原因
1.SN码和密码绑定错误,EMCP平台所建设备的SN码必须和所连GM10模块的SN码相同(SN位于GM10右侧面标签),密码必须和DTU配置软件设置的密码相同(默认111111)。
2.SIM卡选择不对,必须选择移动或联通的SIM(部分联通卡不兼容,建议选用移动卡)。
3.SIM欠费。
4.网络信号差,DTU在信号强度低于15或误码率高于3时会出现掉线或无法联网的情况,最好保证信号强度在20以上误码率为0(可通过改变天线的安放位置调整信号强度,信号强度可通过DTU配置软件或平台模块远程配置中获得)。
6.2 如平台无法读取PLC的数据的原因。
1.PLC的Modbus从站没有创建成功。此时我们可以通过Modscan32主站软件对PLC进行通讯测试,如果无法读取PLC的数据那么说明PLC的Modbus从站没有创建成功。
2.接线错误。确认PLC和DTU之间接线定义是否正确,接线是否牢固。
3.数据创建失败,检查数据规则中所创建的设备是否正确。
4,如果显示“数据未采集”,请检查模块的“远程配置”是否设置了Modbus采集通道,参考3.1.2中的设置。
想了解更多PLC、物联网行业相关知识,请关注河北蓝蜂科技

来源:CSDN
作者:茶卡阿楠
链接:https://blog.csdn.net/weixin_43286869/article/details/104014571