使用 TensorFlow2.0 实现线性回归

守給你的承諾、 提交于 2020-01-16 10:59:31

本文是笔者学习 TensorFlow2.0(下文都写作 TF2.0) 的一篇笔记,使用的教材是《动手深度学习》(TF2.0版)。

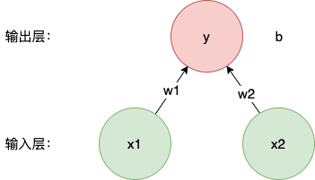
之所以可以使用 TensorFlow 来实现线性回归,是因为我们可以把线性回归看成是只有一层、一个神经元的全连接网络:

上面这个图就是线性回归 y=w1x1+w2x2+by = w_1x_1 + w_2x_2 + b 的神经网络的表示。

实现线性回归

要实现线性回归,我们需要

  1. 定义线性回归模型
  2. 定义 Loss 函数
  3. 定义迭代优化算法

这些也是机器学习理论中的要点,我们可以借本文来回顾一下。

定义线性回归模型

要实现一个算法,我们首先需要用矢量表达式来表示它,即:使用向量、矩阵来描述一个模型。这样做的好处是:矢量批量计算要比循环一条条的计算每个样本来得快得多,线性回归的矢量表达式为:
y^=Xw+b \hat{y} = Xw + b
其中,XX 是一个 n×dn\times d 维的矩阵,nn 表示 n 条样本,dd 表示特征的维数;ww 是模型的参数,它是一个 d×1d\times 1 维的向量;bb 是偏差值,它是一个标量;y^\hat{y} 是 n 条样本的预测值,它也是 n×1n \times 1 的向量。

该模型用 TF2.0 实现如下:

import tensorflow as tf
import numpy as np
import random

def linear_reg(X, w, b):
  # matmul 是矩阵乘法
  return tf.matmul(X, w) + b

定义 Loss 函数

一般的,回归模型的 Loss 函数为 MSE(Mean Squared Error):
Loss=12n(yy^)2 Loss = \frac{1}{2n}(y-\hat{y})^2
上式中,yy 是样本的观测值(Observed Value),yyy^\hat{y} 都是 n×1n \times 1 的向量,n 表示对 n 个样本的 Loss 求平均,避免样本数量给 Loss 带来的影响。因为 Loss 是一个标量,所以上式还需要调整如下:
Loss=12n(yy^)(yy^) Loss = \frac{1}{2n}(y-\hat{y})^{\top}(y-\hat{y})
Loss 用 TF2.0 实现如下:

def squared_loss(y, y_hat, n):
  y_observed = tf.reshape(y, y_hat.shape)
  return tf.matmul(tf.transpose(y_observed - y_hat), 
                   y_observed - y_hat) / 2 / n

定义迭代优化算法

深度学习大多采用小批量随机梯度下降优化算法(minibatch Stochastic Gradient Descent)来迭代模型的参数,该算法能节省内存空间,增加模型的迭代次数和加快模型的收敛速度。

SGD 算法每次会随机的从样本中选取一部分数据,例如每次取 100 条,然后计算这 100 条数据的 Loss,根据 Loss 求梯度,再用梯度来更新当前的参数,所以这里包含 3 个步骤:

  1. 随机选择样本,每次选 n 条
  2. 计算这 n 条样本的 Loss,并计算梯度,使用梯度更新参数
  3. 循环 1 和 2

先来看下随机选择样本的代码

def data_iter(features, labels, mini_batch):
  '''
  数据迭代函数
  Args:
  - features: 特征矩阵 nxd 维
  - labels: 样本,nx1 维
  - mini_batch: 每次抽取的样本数
  Example:
  >>> mini_batch = 100
  >>> for X, y in data_iter(features, labels, mini_batch):
  >>> 	# do gradient descent
  '''
  features = np.array(features)
  labels = np.array(labels)
  indeces = list(range(len(features)))
  random.shuffle(indeces)
  for i in range(0, len(indeces), mini_batch):
    j = np.array(indeces[i:min(i+mini_batch, len(features))])
    yield features[j], labels[j]

接着,我们再来看下更新模型参数的代码:

def sgd(params, lr):
  '''
  计算梯度,并更新模型参数
  Args:
  - params: 模型参数,本例中为 [w, b]
  - lr: 学习率 learning rate
  '''
  for param in params:
    param.assign_sub(lr * t.gradient(l, param))

以上,关键代码就写完了,下面我们把它们们串起来:

# 产生模拟数据
# 1000 条样本,2 维特征
num_samples = 1000
num_dim = 2
# 真实的 weight, bias
w_real = [2, -3.4]
b_real = 4.2
# 产生特征,符合正态分布,标准差为 1
features = tf.random.normal((num_samples, num_dim), stddev=1)
labels = features[:,0]*w_real[0] + features[:,1]*w_real[1] + b_real 
# 给 labels 加上噪声数据
labels += tf.random.normal(labels.shape, stddev=0.01)
# 学习率,迭代次数
lr = 0.03
num_epochs = 3
# 初始化模型参数
w = tf.Variable(tf.random.normal([num_dim, 1], stddev=0.01))
b = tf.Variable(tf.zeros(1,))
mini_batch = 10
# 开始训练
for i in range(num_epochs):
    for X, y in data_iter(features, labels, mini_batch):
    		# 在内存中记录梯度过程
        with tf.GradientTape(persistent=True) as t:
            t.watch([w, b])
            # 计算本次小批量的 loss
            l = squared_loss(y, linear_reg(X, w, b), mini_batch)
        # 计算梯度,更新参数
        sgd([w, b], lr)
    # 计算本次迭代的总误差
    train_loss = squared_loss(labels, linear_reg(features, w, b), len(features))
    print('epoch %d, loss %f' % (i + 1, tf.reduce_mean(train_loss)))

简单实现

上述代码是根据线性回归的原理一步步的实现的,步骤十分清晰,但比较繁琐,实际上,TF 提供了丰富的算法库供你调用,大大的提升了你的工作效率。下面我们就用 TF 库中提供的方法来替换上述代码。

我们先用 keras 来定义一个只有 1 层的全连接网络结构,这里参数都不需要你指定了:

from tensorflow import keras
from tensorflow.keras import layers
from tensorflow import initializers as init

model = keras.Sequential()
model.add(layers.Dense(1, kernel_initializer=init.RandomNormal(stddev=0.01)))

接下来设置 Loss 函数为 MSE:

from tensorflow import losses

loss = losses.MeanSquaredError()

设置优化策略为 SGD:

from tensorflow.keras import optimizers

trainer = optimizers.SGD(learning_rate=0.03)

小批量随机获取数据集的代码如下:

from tensorflow import data as tfdata

batch_size = 10
dataset = tfdata.Dataset.from_tensor_slices((features, labels))
dataset = dataset.shuffle(len(features)).batch(batch_size)

可见,构建一个模型就是设置一些配置项,不需要写任何逻辑,把上面代码合起来,如下:

from tensorflow import data as tfdata
from tensorflow import keras
from tensorflow.keras import layers
from tensorflow import initializers as init
from tensorflow import losses
from tensorflow.keras import optimizers

# 设置网络结构:1 层全连接,初始化模型参数
model = keras.Sequential()
model.add(layers.Dense(1, kernel_initializer=init.RandomNormal(stddev=0.01)))
# loss 函数:MSE
loss = losses.MeanSquaredError()
# 优化策略:随机梯度下降
trainer = optimizers.SGD(learning_rate=0.03)
# 设置数据集,和小批量的样本数
batch_size = 10
dataset = tfdata.Dataset.from_tensor_slices((features, labels))
dataset = dataset.shuffle(len(features)).batch(batch_size)

num_epochs = 3
for epoch in range(1, num_epochs+1):
    # 取小批量进行计算
    for (batch, (X, y)) in enumerate(dataset):
        with tf.GradientTape() as tape:
            # 计算 loss
            l = loss(model(X, training=True), y)
        # 计算梯度并更新参数
        grads = tape.gradient(l, model.trainable_variables)
        trainer.apply_gradients(zip(grads, model.trainable_variables))
    
    # 本次迭代后的总 loss
    l = loss(model(features), labels)
    print('epoch %d, loss: %f' % (epoch, l.numpy().mean()))
# 输出模型参数
print(model.get_weights())

上面代码直接拷贝便可通过运行(依赖库还需要你自行安装下),初学的同学可以动手试试。

小结

本文通过 TF2.0 来实现了一个简单的线性回归模型,具体包括

  1. 按照定义模型、定义损失函数,以及定义迭代算法这几个基本的步骤来实现一个广义的神经网络,麻雀虽小,但五脏俱全
  2. 使用丰富的 TF2.0 组件来实现一个更精简的版本,旨在了解 TF2.0 的使用。

参考:

关注作者:

易学教程内所有资源均来自网络或用户发布的内容,如有违反法律规定的内容欢迎反馈
该文章没有解决你所遇到的问题?点击提问,说说你的问题,让更多的人一起探讨吧!