回归算法和logistics算法总结
1、回归算法简介:
回归算法还是属于分类算法。Numpy、Panads、Matplotlib、Scilit-learn。线性回归一般用来做连续值的预测,预测的结果为一个连续值。因训练时学习样本不仅要提供学习的特征向量X,而且还要提供样本的实际结果(标记label,所以它是一种有监督学习。其中 X={x0,x1,...,xn}。
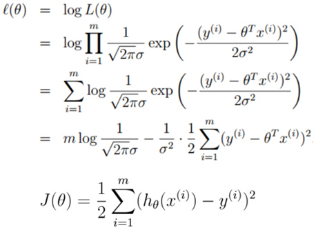
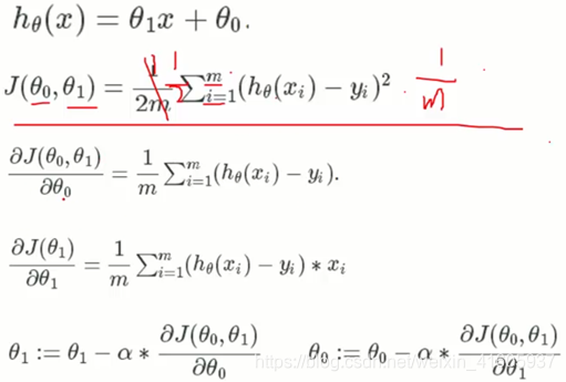
2、算法原理推导:



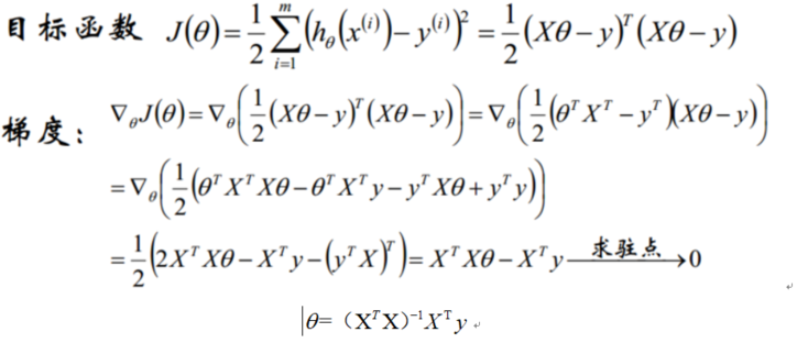
3、目标函数求解

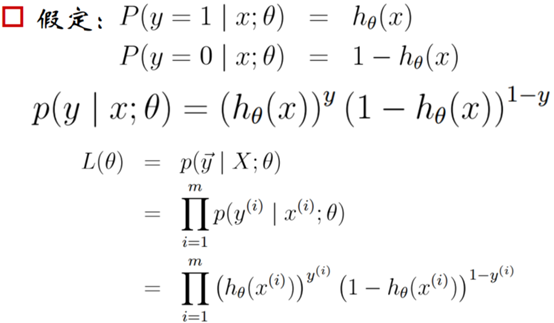
4、逻辑回归原理

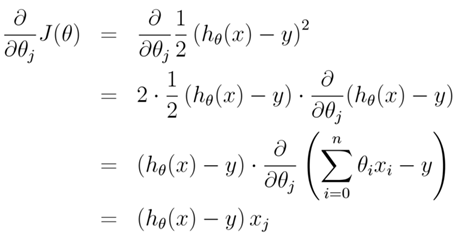
5、梯度下降原理

6、梯度下降实例



来源:CSDN
作者:庄小焱
链接:https://blog.csdn.net/weixin_41605937/article/details/103752675