快速理解Logistic Regression,关键是掌握模型函数,损失函数或目标函数
首先看模型函数
![]()
![]()
最终训练出来的模型如下,其中
表示预测值,
表示输入的特征值,后面提到的
为真实值,
和
就是模型需要学习的参数,接下来,看一下模型学习的过程
模型的损失函数为![]()
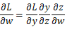
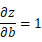
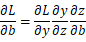
模型的训练过程就是对L的最小化过程,也即是对
和
更新的过程,也即是梯度下降的过程,关于为什么使用梯度下降法求最小值而不是直接令导数等于0的问题可以参考博客
https://blog.csdn.net/qq_41800366/article/details/86600893
![]()
![]()
![]()
![]()
![]()
![]()
其中
、
和
都是常数值,也即是每一次只需要求
就行,然每一次迭代,都是
![]()
![]()
的过程
来源:CSDN
作者:鱼只
链接:https://blog.csdn.net/heatrain/article/details/103965202