双色球的概率和收益

你离开我真会死。 提交于 2020-01-14 20:05:11

  原文 | https://mp.weixin.qq.com/s/gF0aTunuxIFAffATab-v4w

  我买双色球已经好多年了,一直相信“只要集齐七个球,就能大富大贵”,但这么多年过去了,愿望依旧没有达成。最近一期的双球又一次白白捐献了2块钱。长期来看,到底是赔钱还赚钱?如果有一天赚钱了,能否抵得过我的投入?

  

  双色球由红球和蓝球两部份组成,红球是由01到33个号码中选择,蓝球是由01到16个号码中选择。每次开奖在红色球中随机摇出六个红号,在蓝球中随机摇出一个蓝号,下面是中奖条件和奖金:

  直观上,中5块看起来比较容易,只要蓝色球号猜中就行,但实际上概率仅有6.25%,至于一等奖就更困难了。

 

中奖的概率

  先来复习一下不放回抽样。

  引例:设一批产品共有N个,其中有M个次品。每次从这批产品中随机地抽出一件来检查,检查后不放回,共取n次(相当于一次同时取n件产品),试求在n次检查中有k次是次品的概率Pk。

  从N件产品中抽取n件共有种不同的取法,现要求在抽取的一组n件产品中,有k件次品和n-k件合格品。因为这k件次品有种不同的取法,n-k件合格品有种不同的取法,因此最后的结果是:

  

  现在来看双色球的中奖概率。

  对于红球来说,开奖号码是排序的,既然中奖的规则只和彩票中是否有开奖号码有关,与彩票上的号码顺序无关,那么我们不妨让出票智能一点,打印出的彩票上的红球也是排好序的,这样一来,问题就转换成了和引例一样的不放回抽样:

  接下来只要把相应的k代入①中即可,当然,还要乘以蓝球的相应概率:

  大富大贵的概率约为0.0000056%,1700万分之一,500万。

  

  二等奖是猜中6个红球,并且猜错蓝球:

  二等奖的概率大约为0.0000846%,100万分之一,约20~35万。

  

  三等奖是猜中5个红球和1和蓝球,K=5:

  大约0.000914%的概率中三等奖,11万分之一,奖金是固定的,3000元。

  

  类似地,可以算出四等奖和五等奖的中奖概率。

  四等奖大约0.0434%,2300分之一,200元。

  五等奖大约0.7758%,129分之一,10元。

  六等奖1/16,5.889%,5元。

  

  2019年江苏省高考报名合计48.4万人,考上清华北大的有151人,相当于在一万人中排名前三,3333人中排名第一才能考上清华北大,只比中200元的概率略高,比中3000元的概率高出10倍。有趣的是,绝大多数人都相信自己能人品爆发,中个大奖,再不济也能中几个3000元,却不相信自己能考上清华北大。当然,这种想法是有理由的,买彩票可以简单的凭概率计算,而高考除了运气外,天赋和努力程度才是决定性因素。

  不管怎么说,数量庞大的彩民们勇往直前地奔着大奖而去,这其中的付出和收益又有着怎样的关系?

期望收益

  双色球的概率告诉了我们中奖的可能性的大小,但是我更关注的是长期预测结果。虽然偶尔中个5块10块,但大多数时候都是颗粒无收,我想知道,在我有生之年中得的钱是否能够填平赔掉的钱?

  

  概率问题总是很关心分布,我们已经有了各等奖的概率分布:

  但是从上面的离散分布中看不出收益,于是我们对其进行改进,用随机变量X表示每注彩票的收益:

  为了简单起见,二等奖按照30W奖金计算。每注彩票2元,如果中了六等奖,则收益是5-2=3元,也就是赚了3元;如果未中奖则相当于赔了2元。

  为了计算长期收益,可以先计算出每注彩票的期望收益:

  这对于像我这种天天想着中大奖的人来说可不是个好结果,每注彩票居然期望赔掉将0.98元!这当然不是我的期望,而是在统计学上的期望。

收益的变化幅度

  每注彩票期望赔掉0.98元,我每年买365张,10年下来,居然告诉我期望赔掉,0.98×365×10=3577元!回想一下这些年的经历,除了偶尔中个5块10块之外,似乎只有一次中了200,当时被胜利冲昏了头脑,花了500多元和好友大吃了一顿,这么算来,赔掉的可不只3577元。

  赔掉0.98元只是每注彩票的平均收益,但实际上每一次开奖都存在收益的变化,否则每次都赔钱的话还有谁会买彩票呢?

  我们在前面的章节介绍过方差,作为衡量实际问题的数字特征,方差代表了问题的波动性。双色球收益的方差和标准差:

  这里μ代表X的期望值。方差越小,结果的可预测性越高,每注彩票的平均收益越接近期望值。双色球的方差已经超过147万,这是个很大的波动,说明整体收益不可预期。标准差指明了每注彩票不可预测的收益与期望收益的平均距离。

  从期望值上看,长期购买彩票是一种赔钱行为,但方差又告诉我们,一旦中了一等奖或二等奖,那么所有赔的钱都不算个事。

随机变量的线性变换

  近几年物价飞涨,看起来双色球还是比较有良心的,一直保持2元不变。但反过来看,2019年南京的房价已经超过每平米3.2W,500W扣掉税之后也就勉强在南京这种新一线城市买个小户型。

双色球涨价了

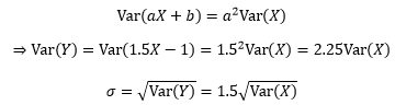
  现在双色球涨价了,4元一注,按照有关部门的一贯作风,中奖金额只提高了1.5倍,现在有了新的收益分布:

  收益和投入资金都与原来存在线性关系,因此我们不想傻乎乎的根据期望值的公式去计算新收益的期望值。

  随机变量Y是新收益,X是原收益,我们可以得到下面的关系:

  这就把X和Y联系到了一起,由此计算涨价后的期望收益:

  这下赔的更多了。如果接着买的话,未来十年的期望收益是 -2.47×356×10 = -9015.1元,想想经常寻找免费停车位的场景,9015.1元可不算小钱。

 

  再来看方差,根据方差性质:

  涨价后,每注彩票的收益更加不可预测,赔的和赚的都可能更多。

如果增加投入

  还是按2元一注计算,如果我每天买10注怎么样?会不会更可能赢钱?

  这就要看怎么买10注了。一种是买10注不同的,另一种是全压在相同的号码上。

  

  先来看第一种。10注不同的号码最多只可能中一注,中奖概率提高到原来的10倍,每一次中奖收益也随之变化:

  虽然随机变量U和X是线性关系,但是P(U=u)和P(X=x)不是线性的,其原因是二者未中奖的概率不相等,因此在求得新的期望收益时不能借助E[X],只能重新计算:

  期望收益和方差都变成了原来的10倍,这意味着从长期来看赔的更多,同时结果也更加不可预测。

  

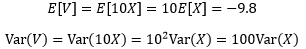
  再来看另一种,全压在相同的号码上。这里简单一点,把奖金简单地翻倍:

  概率质量和单买一注是一致的,每一等奖项(包括未中奖)的收益都是原来的10倍,方差是100倍:

  如此下注,虽然长期来看赔的更多,但是一旦中了500W就基本可以提前退休了。


  出处:微信公众号 "我是8位的"

  本文以学习、研究和分享为主,如需转载,请联系本人,标明作者和出处,非商业用途! 

  扫描二维码关注作者公众号“我是8位的”

易学教程内所有资源均来自网络或用户发布的内容,如有违反法律规定的内容欢迎反馈
该文章没有解决你所遇到的问题?点击提问,说说你的问题,让更多的人一起探讨吧!