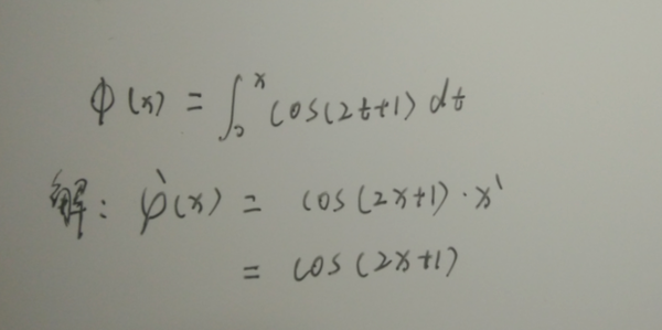
类型1、下限为常数,上限为函数类型
第一步:对于这种类型只需将上限函数代入到积分的原函数中去,再对上限函数进行求导。

第二步:对下面的函数进行求导,只需将“X”替换为“t”再进求导即可。

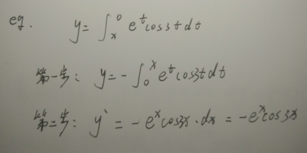
类型2、下限为函数,上限为常数类型
第一步:基本类型如下图,需要添加“负号”将下限的函数转换到上限,再按第一种类型进行求导即可。

第二步:题例如下,添加“负号”转换为变上限积分函数求导即可。

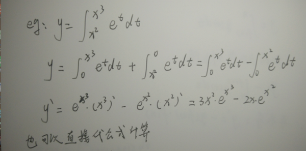
类型3、上下限均为函数类型
第一步:这种情况需要将其分为两个定积分来求导,因为原函数是连续可导的,所以首先通过“0”将区间[h(x),g(x)]分为[h(x),0]和[0,g(x)]两个区间来进行求导。

第二步:然后将后面的变下限积分求导转换为变上限积分求导。

第三步:接着对两个区间的变上限积分分别求导即可得到下面公式。

第四步:对于这种题,可以直接套公式,也可以自己推导。

总结 :
对于变限积分求导,通常将其转换为变上限积分求导,求导时,将上限的变量代入到被积函数中去,再对变量求导即可。
扩展资料 :
众所周知,微积分的两大部分是微分与积分。微分实际上是函数的微小的增量,函数在某一点的导数值乘以自变量以这点为起点的增量,得到的就是函数的微分;它近似等于函数的实际增量(这里主要是针对一元函数而言)。
而积分是已知一函数的导数,求这一函数。所以,微分与积分互为逆运算。
实际上,积分还可以分为两部分。第一种,是单纯的积分,也就是已知导数求原函数,而若F(x)的导数是f(x),那么F(x)+C(C是常数)的导数也是f(x),也就是说,把f(x)积分,不一定能得到F(x)。
因为F(x)+C的导数也是f(x),C是任意的常数,所以f(x)积分的结果有无数个,是不确定的,我们一律用F(x)+C代替,这就称为不定积分。
用公式表示是:f'(x)=g(x)->∫g(x)dx=f(x)+c
                                    来源:CSDN
作者:转学湘北的流川枫
链接:https://blog.csdn.net/tonglin12138/article/details/103748244