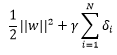
核心是通过一个优化函数,实现从高维到低维的转换。
用数学表达式进行定义:
最小化:
其中γ是学习率learning_rate
限制条件:
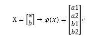
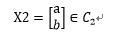
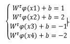
接下来用一个低维到高维的矩阵进行描述:


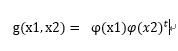
有
其中式子1.2属于C1,3,4属于C2
由此,通过一个优化函数,我们将非线性的函数变为了线性的函数,之后按照线性函数继续进行处理即可。优化函数,我们称作核函数,常用的核函数有高斯核、多项式核
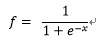
sigmoid函数
多项式核
——————————————————————————————
公式编辑器真的不好用,用Word编辑之后放过来好难看。讲究这看吧!
来源:CSDN
作者:wx-咸鱼
链接:https://blog.csdn.net/weixin_45885232/article/details/103949224