A five-factor asset pricing model (2014)
作者:Fama and French
Fama, E. F., & French, K. R. (2015). A five-factor asset pricing
model. Journal of financial economics, 116(1), 1-22.
0是引入。第一部分(1.)简要分析五要素模型,第二部分通过市场上历史的平均收益率来检验模型,第三、四部分给出要素的定义和统计性信息。
0.引入
一切源自于该公式:
d 是股息,r 是股票的长期平均期望收益率,或者是股息的IIR(内在收益率、折现率)
该公式中,如果同一时间内两个公司有相同的股息期望,但不同价格,低价格的具备更高的收益率,即更高的风险。
将该公式改进后得到公式(2),Y为一段时间内的 总股本收益(total equity earnings),dB是总账面股本的变化(the change in total book equity)。再除以总账面股本(book equity)价值,得到公式(3)。

对于公式(3),可以固定部分变量,来反映收益率和其他变量的关系。
不固定M 与 r: 更高的M,或者是更低的 B/M,意味着更高的期望收益率 r。
不固定Y与r,固定M与其他值: 更高的期望收益Y,意味着更高的r。
固定的B,M,Y: 更高的账面股本的变化 dB(higher expected growth in book equity—investment),意味着更低的 r。
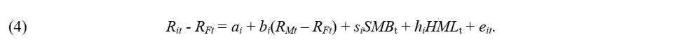
1.资产定价模型
首先引入了1993年的论文,并且给出公式
其中,相对于无风险利率的溢价可以解释为:个股对于无风险利率的溢价,SMB为小盘股收益率减去大盘股收益率,HML为book/market(B/P),即市净率(divide price per share by book value per share)的倒数。由于公式(3)可能会将B/M当作干扰项,因为它也反映利润和投资的信息,因此把它提取出来较好。
来源:CSDN
作者:iven2166
链接:https://blog.csdn.net/iven2166/article/details/103940026