LSTM记录贴
得平常再做一些任务都会用到LSTM(长短时记忆网络)、GRU以及一些变形的RNN模型,虽然平时用的多,但近来看面经,发现有些问题都忘了,回过头看了又忘,所以准备好好的手推一遍并且记录下来;
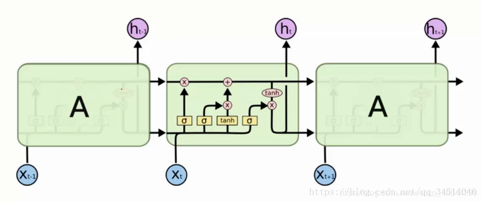
先上图
 其实如果推理过LSTM的话,基本上这图就没啥用,因为这图说实话画的略显复杂。在真的面试遇到手推LSTM,方法应该是从三个门出发点去反向画图。
其实如果推理过LSTM的话,基本上这图就没啥用,因为这图说实话画的略显复杂。在真的面试遇到手推LSTM,方法应该是从三个门出发点去反向画图。
先说主人公三个门,分别是遗忘门(f)、输入门(i)、输出门(o)
还有出场的人员包括上个时间步细胞状态(ct-1)、本时刻的输入(xt)、上一时间步的输入(ht-1)、临时细胞状态(c~)
以及lstm每个unit特有的输入框架,相比普通RNN多了一个c而已
那么可以开始推导了
首先要确定,每个lstm会有三个输入(ct-1、ht-1、xt),两个输出(ct、ht)
而ht-1与xt都是向量,在论文中xt与ht-1是直接横向拼接在一起的(可以有不同的结合方式,但是基本是绑定的),因为两个向量都是定长,所以在经过每个门的线性变换矩阵输出也是定长。
那么开始第一个门,决定我们会从细胞状态中丢弃什么信息,所以叫遗忘门,f= sigmoid([xt,ht-1]Wf+bf),输出的是一个概率,遗忘概率。那么遗忘的对象是谁?那必然是上个时刻输入的细胞状态ct-1
那么可以画出图
输入门(或者更新门)i = sigmoid([xt,ht-1]Wi+bi),它决定更新输入的信息的概率或者说大小,那么更新的对象是谁呢?那必然是临时状态c~,且其也是由[xt,ht-1]作为单位得到的 即可得到如下,注意临时状态的激活函数是tanh(),至于为什么临时状态和本时刻隐藏层输出(与门无关)的激活函数要用tanh而不用sigmoid或者relu?第一目的不同,三个门的输出值希望是0到1的数类似概率来控制信息的去留,而细胞状态激活函数的目的是纯粹为了处理数据,也可以用其他激活函数(但tanh比sigmoid好)
这个单独说
相较而言,在隐藏层,tanh函数要优于sigmoid函数,可以认为是sigmoid的平移版本,优势在于其取值范围介于-1 ~ 1之间,数据的平均值为0,而不像sigmoid为0.5,有类似数据中心化的效果。
  但在输出层,sigmoid也许会优于tanh函数,原因在于你希望输出结果的概率落在0 ~ 1 之间,比如二元分类,sigmoid可作为输出层的激活函数。
  但实际应用中,特别是深层网络在训练时,tanh和sigmoid会在端值趋于饱和,造成训练速度减慢,故深层网络的激活函数默认大多采用relu函数,浅层网络可以采用sigmoid和tanh函数。
所以与C相关的激活函数可以用tanh或者relu,relu收敛还快但实际lstm层数多时容易面临梯度爆炸
所以又可以推出图啦、 上面的Ct标错了应该是C~
上面的Ct标错了应该是C~
最后同样的就是输出门o = sigmoid([xt,ht-1]Wo+bo),按照原来的思路,他要输出的是谁?对象就是ht(本时刻隐藏层的输出)
得到的就是本时刻隐藏层状态ht
那么有
ct = fct-1+ic~ , ht=o*tanh(ct)得到最后两个输出,这不是很简单吗
得到图
参数计算也可以很明确计算出来,一共三个门也就是有三个线性变换矩阵加一个c就是有四个线性变换矩阵,所以这个c与ct和ct-1不同的是,c~是一个向量,与输出的维度相同,即与ht的维度相同,
附上所有的变量以及参数规格 可以看到以上的所有向量的维度都等于LSTM的维度h,W在实际中的shape也为[h,(d+h)],d是数据的映射的长度,因为直接拼接xd与ht-1所以W即为[h,(d+h)];
可以看到以上的所有向量的维度都等于LSTM的维度h,W在实际中的shape也为[h,(d+h)],d是数据的映射的长度,因为直接拼接xd与ht-1所以W即为[h,(d+h)];
来源:https://blog.csdn.net/weixin_40644298/article/details/99676823