剑指offer刷题笔记
题目描述:
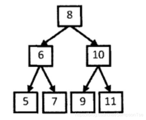
输入一个整数数组,判断该数组是不是某二叉搜索树的后序遍历的结果。如果是则输出Yes,否则输出No。假设输入的数组的任意两个数字都互不相同。
概念补充:
- 二叉搜索树的概念:它或者是一棵空树,或者是具有下列性质的二叉树: 若它的左子树不空,则左子树上所有结点的值均小于它的根结点的值; 若它的右子树不空,则右子树上所有结点的值均大于它的根结点的值; 它的左、右子树也分别为二叉搜索树。
- 后序遍历:左子树→右子树→根节点

思路:
- 根据后序遍历的概念,序列的最后一个数字便是根节点的数字。
- 根据二叉搜索树的概念,通过与根节点的数字比较可以找到左右结点分水岭
- 根据二叉搜索树的左右子树仍然是二叉搜索树,可以通过递归判断左右子树是否同时为二叉搜索树
源代码:
class Solution {
public:
bool VerifySquenceOfBST(vector<int> sequence) {
return bst(sequence,0,sequence.size()-1);
}
private:
bool bst(vector<int> seq,int begin,int end){
if(seq.empty()||begin>end){
return false;
}
int root=seq[end]; //根结点
int i=0;
//找到右子树开始的位置
for(;i<end;i++){
if(seq[i]>root)
break;
}
for(int j=i;j<end;j++){
if(seq[j]<root)
return false;
}
//判断左子树是否是二叉搜索树
bool left=true;
if(i>begin){
left=bst(seq,begin,i-1);
}
//判断右子树是否是二叉树
bool right=true;
if(i<end-1){
right=bst(seq,i,end-1);
}
return left && right;
}
};
来源:CSDN
作者:SampsonTse
链接:https://blog.csdn.net/SampsonTse/article/details/103823508