吴恩达机器学习课程笔记-Week1

泄露秘密 提交于 2020-01-11 23:50:52

参考资料:
吴恩达教授机器学习课程
机器学习课程中文笔记

Week 1

一. 引言

机器学习模型可分为监督学习Superviese learning(每个数据集给出了正确的值)和无监督学习Unsupervised learning(数据集只有特征,没有对应正确的值)

机器学习处理的问题可以分为Regression回归问题(结果是real-valued output连续的值)和Classification问题 (结果是discrete-valued离散的值)

二. 单变量线性回归(Linear Regression with One Variable)

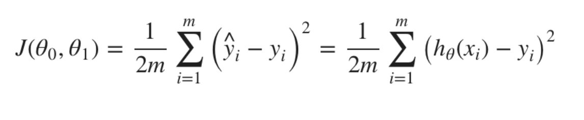
代价函数Cost function

代价函数用来表现目前模型与结果的拟合情况。
平方差函数是回归问题中常用的代价函数
在这里插入图片描述

梯度下降 Gradient descent

梯度下降算法用来最小化函数,这里用来最小化代价函数;
原理:通过将每个参数不停减去“对应参数偏导数*学习速率“来同时更新每个参数,从而达到求得局部最小的函数值。

hypothesis 是一个通过一个training set + 机器学习算法训练出的模型 。

对于traning set,找一个合适的学习算法,然后通过训练最小化代价函数从而得到最适合的参数。

三. 术语

  • Data set = training set
  • example
  • Input = features
  • output = target
  • label
  • Superviese learning
  • Unsupervised learning
易学教程内所有资源均来自网络或用户发布的内容,如有违反法律规定的内容欢迎反馈
该文章没有解决你所遇到的问题?点击提问,说说你的问题,让更多的人一起探讨吧!