主要内容:
0-1, Hinge, Logistic, Cross Entropy, Square, Absolute, Huber
简述:
损失函数刻画了模型与训练样本的匹配程度。
分类损失
- 对于二分类问题,Y={1,-1},我们希望

0-1损失:

最自然的损失函数是0-1损失,表示的是,当且仅当预测不正确的时候取值为1,否则取值为0。该损失函数能够直观的刻画分类的错误率,但是由于其非凸、非光滑的特点,使得算法很难直接对该函数进行优化。
Hinge损失:

Hinge损失函数是0-1损失函数相对紧的凸上界,且当

时候,该函数不对其做任何处罚。由于Hinge损失在f.y=1处不可导,因此不能使用梯度下降算法优化,而是使用次梯度下降法。
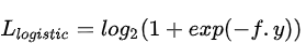
Logistic损失函数:
Logistic损失函数也是0-1损失函数的凸上界,且该函数处处光滑,因此可以使用梯度下降法进行优化。但是,该函数对所有样本点都做惩罚,因此对异常点更为敏感。
Cross Entropy:
交叉熵损失函数是常用的二分类损失函数。交叉熵损失函数也是0-1损失的光滑凸上界。
回归损失
1.对于回归问题,我们期望

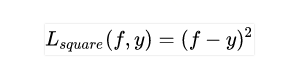
Square损失:

平方损失函数是光滑函数,能够使用梯度下降法优化。然而当预测值距离真实值越远时,平方损失函数的惩罚力度越大,因此对异常点比较敏感。
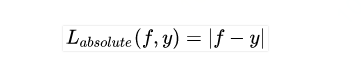
Absolute损失:

绝对损失函数相当于在做中值回归,相比做均值回归的平方损失函数,绝对损失函数对异常点更鲁棒。但是,绝对损失函数在f=y处无法求导。
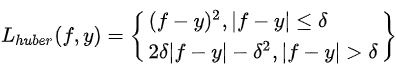
Huber损失:
Huber损失函数在|f-y|较小时为平方损失,在|f-y|较大的时采用线性损失,处处可导,且对异常点鲁棒。
来源:CSDN
作者:Terry_dong
链接:https://blog.csdn.net/sjyttkl/article/details/103923421