UWB定位算法

丶灬走出姿态 提交于 2020-01-10 20:28:15

超宽带技术是采用极窄的脉冲信号实现无线通信,被称为脉冲无线电,其信号相对带宽不小于 0.2,绝对带宽不小于 500 MHz。根据经典雷达成像理论,距离分辨率 δ x 与信号宽度 T m 有如下关系:δ x =vT m /2,其中 v 是信号在传播介质中的传播速度。由此宽带特性可知,超宽带定位技术有极高的测距精度。其采用的脉冲宽度为纳秒或亚纳秒级,理论上可以获得厘米甚至毫米级的测距精度。由于 UWB 系统发射的是持续时间极短且占空比很低的窄脉冲,因此其多径信号在时间上可分离。此外,UWB 采用跳时扩频信号,系统具有较宽阔的频带,根据香农公式,信道容量 C 一定的情况下,高带宽可以降低信噪比。因此,UWB 具有很强的抗干扰性。

1、三边定位算法

三边测量法适合三个参考节点对一个未知节点实行定位,其通过未知节点与参考节点的距离公式列出三个数学关系式,进而求解需要定位的节点坐标。未知节点的位置计算原理如图2所示。设三个参考节点的坐标分别为 A(x 1 , y 1 )、B(x 2 , y 2 )、C(x 3 ,
y 3 ),未知节点 D 的坐标为 (x, y),该节点到 A、B、C 的距离分别为 r 1 、r 2 、r 3 ,由此可得式(1):

在这里插入图片描述
在这里插入图片描述

2、质心算法

质心算法是依靠节点互相通信找出与距离定位节点较近的参考节点,将这些参考节点构成的多边形区域的质心作为定位节点的位置估计,如图 3 所示。

通常把参考节点所构成图形的质心看作该图形的几何中心,则定位节点的质心坐标为构成多边形各个顶点坐标的平均值。若一个不规则图形的 n 个顶点分别是 (x 1 , y 1 )、(x 2 ,y 2 )、,…,(x n , y n ),则质心坐标为:
在这里插入图片描述

质心算法主要依靠网络的连通性实现,具有计算简单,不需要参考节点和定位节点相互配合的优势。质心算法的精度是较低,应用中往往作为一种辅助方法,从而提高算法的精度。

3、算法融合
实际环境中,测量信号会受到遮挡、噪声等环境因素的影响,造成测量时间增加,产生测量误差。三个圆可形成一个相交区域,如图 4 所示。

在这里插入图片描述

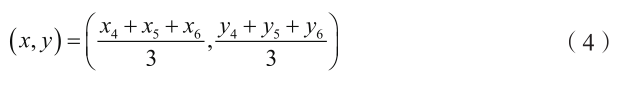
设三个交点坐标分别为 E(x 4 , y 4 )、F(x 5 , y 5 )、G(x 3 , y 3 ),位置节点 D 的坐标 (x, y) 可以看作相交区域的几何中心,即 D的坐标为:

在这里插入图片描述

易学教程内所有资源均来自网络或用户发布的内容,如有违反法律规定的内容欢迎反馈
该文章没有解决你所遇到的问题?点击提问,说说你的问题,让更多的人一起探讨吧!