循环神经网络
定义
循环神经网络(Recurrent Neural Network, RNN)是一类以序列(sequence)数据为输入,在序列的演进方向进行递归(recursion)且所有节点(循环单元)按链式连接的递归神经网络(recursive neural network)
应用领域
RNN的应用领域有很多, 可以说只要考虑时间先后顺序的问题都可以使用RNN来解决.这里主要说一下几个常见的应用领域:
- 自然语言处理(NLP): 主要有视频处理, 文本生成, 语言模型, 图像处理
- 机器翻译, 机器写小说
- 语音识别
- 图像描述生成
- 文本相似度计算
- 音乐推荐、网易考拉商品推荐、Youtube视频推荐等新的应用领域.
模型结构

问题
RNN存在梯度消失和梯度爆炸问题(BP算法和长时间依赖造成的):
RNN的算法, 它处理时间序列的问题的效果很好, 但是仍然存在着一些问题, 其中较为严重的是容易出现梯度消失或者梯度爆炸的问题(BP算法和长时间依赖造成的). 注意: 这里的梯度消失和BP的不一样,这里主要指由于时间过长而造成记忆值较小的现象.
因此, 就出现了一系列的改进的算法, 这里介绍主要的两种算法: LSTM 和 GRU.
LSTM 和 GRU对于梯度消失或者梯度爆炸的问题处理方法主要是:
对于梯度消失: 由于它们都有特殊的方式存储”记忆”,那么以前梯度比较大的”记忆”不会像简单的RNN一样马上被抹除,因此可以一定程度上克服梯度消失问题。
对于梯度爆炸:用来克服梯度爆炸的问题就是gradient clipping,也就是当你计算的梯度超过阈值c或者小于阈值-c的时候,便把此时的梯度设置成c或-c
LSTM
基本概念

Long Short Term Memory networks(以下简称LSTMs),一种特殊的RNN网络,该网络设计出来是为了解决长依赖问题。该网络由 Hochreiter & Schmidhuber (1997)引入,并有许多人对其进行了改进和普及。他们的工作被用来解决了各种各样的问题,直到目前还被广泛应用。
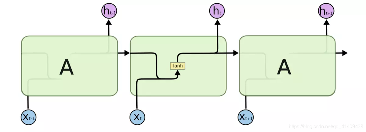
所有循环神经网络都具有神经网络的重复模块链的形式。 在标准的RNN中,该重复模块将具有非常简单的结构,例如单个tanh层。标准的RNN网络如下图所示
LSTMs也具有这种链式结构,但是它的重复单元不同于标准RNN网络里的单元只有一个网络层,它的内部有四个网络层。LSTMs的结构如下图所示。

在解释LSTMs的详细结构时先定义一下图中各个符号的含义,符号包括下面几种

图中黄色类似于CNN里的激活函数操作,粉色圆圈表示点操作,单箭头表示数据流向,箭头合并表示向量的合并(concat)操作,箭头分叉表示向量的拷贝操作
核心思想
LSTMs的核心是细胞状态,用贯穿细胞的水平线表示。
细胞状态像传送带一样。它贯穿整个细胞却只有很少的分支,这样能保证信息不变的流过整个RNNs。细胞状态如下图所示
LSTM网络能通过一种被称为门的结构对细胞状态进行删除或者添加信息。
门能够有选择性的决定让哪些信息通过。其实门的结构很简单,就是一个sigmoid层和一个点乘操作的组合。如下图所示

因为sigmoid层的输出是0-1的值,这代表有多少信息能够流过sigmoid层。0表示都不能通过,1表示都能通过。
一个LSTM里面包含三个门来控制细胞状态。
前面提到LSTM由三个门来控制细胞状态,这三个门分别称为忘记门Forget、输入门Input和输出门Output。下面一个一个的来讲述。
LSTM的第一步就是决定细胞状态需要丢弃哪些信息。这部分操作是通过一个称为忘记门的sigmoid单元来处理的。它通过查看ht-1和xt信息来输出一个0-1之间的向量,该向量里面的0-1值表示细胞状态Ct-1中的哪些信息保留或丢弃多少。0表示不保留,1表示都保留。忘记门如下图所示。
下一步是决定给细胞状态添加哪些新的信息。这一步又分为两个步骤,首先,利用ht-1和xt通过一个称为输入门的操作来决定更新哪些信息。然后利用ht-1和xt通过一个tanh层得到新的候选细胞信息,这些信息可能会被更新到细胞信息Ct中。这两步描述如下图所示。
下面将更新旧的细胞信息Ct-1,变为新的细胞信息Ct。更新的规则就是通过忘记门选择忘记旧细胞信息的一部分,通过输入门选择添加候选细胞信息Ct的一部分得到新的细胞信息Ct。更新操作如下图所示
更新完细胞状态后需要根据输入ht-1的xt和来判断输出细胞的哪些状态特征,这里需要将输入经过一个称为输出门的sigmoid层得到判断条件,然后将细胞状态经过tanh层得到一个-1~1之间值的向量,该向量与输出门得到的判断条件相乘就得到了最终该RNN单元的输出。该步骤如下图所示
来源:CSDN
作者:柯少又来秀了
链接:https://blog.csdn.net/qq_41409438/article/details/103857036