1.截断问题
由于条件限制,样本不能随机抽取,即不能从全部个体,而只能从一部分个体中随机抽取被解释变量的样本观测值,而这部分个体的观测值都大于或者小于某个确定值。“掐头” 或者“去尾。
例如消费函数模型:由于抽样原因,被解释变量样本观测值最低200元、最高10000元。
例如农户贷款影响因素分析模型:如果调查了10000户,其中只有6000户在一年内发生了贷款。仅以发生了贷款的6000户的贷款额作为被解释变量观测值,显然是将其它没有发生贷款的4000户“截断”掉了。
2.归并问题
将被解释变量的处于某一范 围的样本观测值都用一个相同的值代替。经常出现在“检查”、“调查”活动中,因此也称为“检查”(censoring)问题。
例如需求函数模型:用实际消费量作为需求量的观测值,如果存在供给限制,就出现“归并”问题。
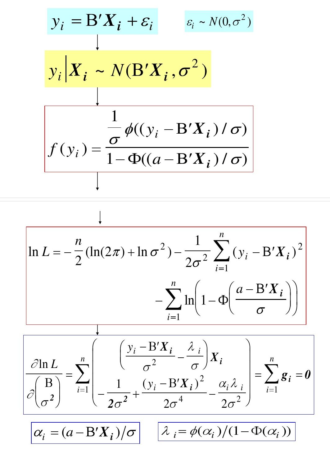
3.截断问题的计量模型
如果一个单方程计量经济学模型,只能从“掐头或者“去尾”的连续区间随机抽取被解释变量的样本观测值,那么很显然,抽取每一个样本观测值的概率以及抽取一组样本观测值的联合概率,与被解释变量的样本观测值不受限制的情况是不
同的。如果能够知道在这种情况下抽取一组样本观测值的联合概率函数,那么就可以通过该函数极大化求得模型的参数估计量。
截断被解释变量数据模型的最大似然估计:
求解该1阶极值条件,即可以得到模型的参数估计量。
需要采用迭代方法求解,例如牛顿法。
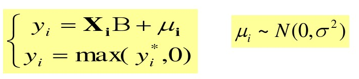
4.归并问题的计量模型Tobit
假设被解释变量服从正态分布,其样本观测值以0为界,凡小于0的都归并为0,
大于0的则取实际值。如果以表示原始被解释变量,以表示归并后的被解释变量,那么则有:
单方程线性“归并”问题的计量模型为:
“归并”变量的正态分布:
由于原始被解释变量服从正态分布,有:
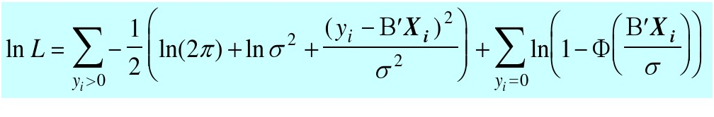
归并被解释变量数据模型的最大似然估计:
该似然函数由两部分组成,一部分对应于没有限制的观测值,是经典回归部分;一部分对应于受到限制的观测值。这是一个非标准的似然函数,它实际上是离散分布与连续分布的混合。
来源:CSDN
作者:凛冬_将至
链接:https://blog.csdn.net/qq_45669448/article/details/103689629