先言
本科不好好学习自己的统计学专业,上课研究生后,我留下了悔恨的泪水,最近刚看到三大抽样分布,一头雾水,就在刚刚有那么一点点感觉,那不会的同学可以和我一起顺着我的思路,可能我的思路有缺陷,一定要私信我,一起进步。
正态分布
学习了概率论与数理统计,我们可以轻松的写出正态分布的密度函数与分布函数:



标准正态分布
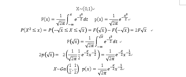
标准正态分布就是
在这里你要了解一个积分常识:
例如:
所以标准正态分布的密度函数为
伽玛分布的可加性

卡方分布

这系为什么,我们来推一推
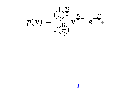
因为随机变量x的平方服从
又因为伽玛分布具有可加性,因此n个x的平方相加的密度函数为
到这里我们就知道卡方分布是怎么推到导出来的。
来源:CSDN
作者:母猪快跑
链接:https://blog.csdn.net/DellvsHuawei/article/details/103874792