Leetcode141. 环形链表
题目:
给定一个链表,判断链表中是否有环。
为了表示给定链表中的环,我们使用整数 pos 来表示链表尾连接到链表中的位置(索引从 0 开始)。 如果 pos 是 -1,则在该链表中没有环。
示例 1:
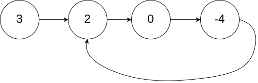
输入:head = [3,2,0,-4], pos = 1
输出:true
解释:链表中有一个环,其尾部连接到第二个节点。
题解:
方案一:hash表
我们遍历所有结点并在哈希表中存储每个结点的引用(或内存地址)。如果当前结点为空结点 null(即已检测到链表尾部的下一个结点),那么我们已经遍历完整个链表,并且该链表不是环形链表。如果当前结点的引用已经存在于哈希表中,那么返回 true(即该链表为环形链表)。
- 时间复杂度:,对于含有 个元素的链表,我们访问每个元素最多一次。添加一个结点到哈希表中只需要花费 的时间。
- 空间复杂度:,空间取决于添加到哈希表中的元素数目,最多可以添加 个元素。
方案二:双指针
通过使用具有不同速度的快、慢两个指针遍历链表,空间复杂度可以被降低至 。慢指针每次移动一步,而快指针每次移动两步。
想象成两名运动员以不同的速度在环形跑道上跑步,终究会相遇(扣圈)
- 时间复杂度:,让我们将 设为链表中结点的总数。为了分析时间复杂度,我们分别考虑下面两种情况。
链表中不存在环:
快指针将会首先到达尾部,其时间取决于列表的长度,也就是 。
链表中存在环:
我们将慢指针的移动过程划分为两个阶段:非环部分与环形部分:
慢指针在走完非环部分阶段后将进入环形部分:此时,快指针已经进入环中 迭代次数 =非环部分长度
两个指针都在环形区域中:考虑两个在环形赛道上的运动员 - 快跑者每次移动两步而慢跑者每次只移动一步。其速度的差值为 1,因此需要经过 次循环后,快跑者可以追上慢跑者。这个距离几乎就是 “” 且速度差值为 1,我们得出这样的结论 .
因此,在最糟糕的情形下,时间复杂度为 ,也就是 。
- 空间复杂度:,我们只使用了慢指针和快指针两个结点,所以空间复杂度为 。
scala代码如下:
hash表
def hasCycle(head: ListNode): Boolean = {
var head1 = head
val nodesSeen = new java.util.HashSet[ListNode]()
var result = false
var flag = true
while (head1 != null && flag) {
if (nodesSeen.contains(head1)) {
flag = false
result = true
} else {
nodesSeen.add(head1)
}
head1 = head1.next
}
result
}
双指针法:
/**
* 双指针
*
* @param head
* @return
*/
def hasCycle2(head: ListNode): Boolean = {
var result = true
var flag = true
if (head == null || head.next == null) {
result = false
flag = false
}
var slow = head
var fast = head.next
while (slow != fast && flag) {
if (fast == null || fast.next == null) {
result = false
flag = false
} else {
slow = slow.next
fast = fast.next.next
}
}
result
}
来源:CSDN
作者:会流泪de鱼
链接:https://blog.csdn.net/sunhaiting666/article/details/103804625